Fakta
Fakta
Abstract
Introduction: Meta-analyses of randomised trials have shown that probiotics reduce the risk of necrotising enterocolitis (NEC) in preterm infants. However, the generalisability of these results, particularly for the most preterm infants, remains unresolved. Hence, we wanted to evaluate the benefit of implementing prophylactic use of probiotics as standard care in infants younger than 30 weeks of gestation.
Methods: Two three-year periods were compared. The first period was prior to a policy change. In this period no probiotics were used. The second period featured routine administration of probiotics (bifidobacillus and lactobacillus) once daily by nasogastric tube from the third day of life. The main outcome: NEC grades 2 and 3 were assessed in a blinded fashion from a clinical abstract and available X-rays.
Results: A total of 381 infants treated before the change of policy were compared with 333 infants treated after the policy change had been introduced. There was no statistically significant change in NEC (odds ratio (OR) = 0.75, p = 0.34, 95% confidence interval (CI): 0.43-1.30). The OR for death was 0.92 (p = 0.55, 95% CI: 0.62-1.40). Unexpectedly, symptoms of NEC appeared earlier in the latter period (median six versus 14 days, p = 0.004). No side effects and no blood cultures with lactobacillus or bifidobacterium were observed.
Conclusion: This historically controlled study did not indicate that probiotics had a significant effect on NEC. We continue our practice, but larger cohort studies or meta-analyses of such studies are needed to confirm previous beneficial findings in randomised trials.
Funding: none.
Trial registration: Clinicaltrials.gov NCT01670916.
Necrotising enterocolitis (NEC) is a serious complication in neonatology, affecting mainly preterm infants [1]. The clinical presentation of NEC varies from feeding intolerance and mild-moderate abdominal symptoms to severe illness with necrosis of large parts of the intestine associated with a high mortality despite intensive care and surgery. There is good evidence from meta-analyses that probiotics reduce the risk of necrotising enterocolitis in preterm infants [2-4]. Despite the evidence, there has been a reluctance to generalise positive results and recommend routine prophylaxis – especially in high-risk infants [5, 6]. Limited internal validity (bias) or limited external validity of randomised trials, particularly for the most preterm infants with the highest risk for NEC, have occasionally been cited as reasons that may explain a lack of similar beneficial effects in daily clinical settings [7].
We decided to implement a policy of routine probiotics at Rigshospitalet, Denmark, in 2010 and to compare results before and after the policy change. This was done before [8, 9], but our comparison would be with a clinical setting with a relatively high proportion of extremely preterm infants and universal use of human milk. We thus addressed some of the reservations with respect to the published randomised controlled trials and meta-analyses [3]. Our hypothesis was that we would find a reduction in NEC of the same magnitude as was reported in meta-analysis of randomised trials.
METHODS
The Neonatal Unit at Rigshospitalet is the tertiary centre for Eastern Denmark with a total of 25,000 annual deliveries. All preterm deliveries before 28 weeks of gestation are centralised to Rigshospitalet. Pregnant women with a range of pregnancy complications are also referred to Rigshospitalet. Thus, our infants with a gestational age of 28 weeks or above often present intrauterine growth restriction or other risks. Most very preterm infants are discharged to one of six step-down neonatal units once they are stable on nasal continuous positive airway pressure and have reached a postconceptional age of at least 28 weeks.
Our policy was to give probiotics once a day to all infants who had completed less than 30 weeks of gestation, starting from the third day of life. If the infant had 1 ml of milk per meal or more probiotics were added, otherwise not. This means that probiotics were not started or discontinued when feeds were withheld, e.g. whenever there was suspicion of NEC, and were restarted as soon as feeds again reached 1 ml per meal. The plan was that probiotics should be continued until discharge from hospital. Thus prophylaxis was supposed to continue in the local units; but due to insufficient delivery of probiotics to these units, this was not always possible. The policy was initiated on 1 March 2010.
We used a Danish, commercially produced combination of bifidobacilli and lactobacilli (Bifiform capsules containing Bifidobacterium lactis BB12 1 × 108 and Lactobacillus rhamnosus GG 1 × 109). Two capsules were opened and the contents dissolved in the milk the infant was given. Bifidobacterium lactis has been assessed in two randomised trials [10, 11] and Lactobacillus rhamnosus GG in one trial [12]. Several randomised trials have used a combination of bifidobacterium and lactobacillus but have utilised other strains [3].
Data collection and classification of the grade of necrotising enterocolitis
Data collection took place in the following periods: from 1 December 2006 to 30 November 2009, and from 1 March 2010 to 28 February 2013. The analysis included the data of all infants with a gestational age of less than 30 weeks who were admitted to the Neonatology Department during the first three days of life. During the period from November 2009 to March 2010, the use of probiotics was introduced in an unsystematic way, and for that reason this period was excluded from analysis. Permission to use data from the clinical records was obtained from the National Board of Health (3-3013-399/1/) and the Danish Data Protection Agency (2007-58-0015/30-0979). According to Danish law, permission from the Research Ethics Committee was not required. The study was registered with clinicaltrials.gov (NCT01670916).
A first step to identify infants with suspected or confirmed NEC diagnosis was to identify all infants whose case record was labelled with this diagnosis. Furthermore, we considered the fact that metronidazole is used as standard treatment for NEC or suspected NEC. Therefore, all patients who had received a prescription of metronidazole were identified via electronic prescription and drug administration records. Cases with metronidazole prescribed prophylactically before surgery (e.g. for congenital abdominal malformation) were excluded.
A neonatologist abstracted clinical data from the records of the infants identified by these two mechanisms. The clinical data covered the period from admission to Rigshospitalet to first discharge from our unit, either to a step-down unit or home. Abdominal X-rays from the admission period were collected, sorted by day of birth, numbered consecutively, and labelled by day of life by a secretary. During a single session, all cases were reviewed blinded to year of birth (group assignment). The review was done by a panel that consisted of a paediatric radiologist, a paediatric surgeon and a neonatologist who did not abstract the clinical data.
The cases were classified as:
0. X-ray showing a normal distribution of air in the bowel and metronidazole given for less than seven days.
1. X-ray showing varying intestinal calibre, mild dilatation, or mild ilius or normal X-ray, but metronidazole given for seven days or more
2. X-ray showing significant dilation, segmentation of bowel loops, collapsed loops, penumatosis or ascites.
3. X-ray showing pneumperitoneum or portal venous gas, or surgery showing perforation or necrosis.
4. X-ray showing pneumoperitoneum; or surgery showing perforation but stable clinical condition, normal CRP, and no signs of NEC on X-ray or at surgery (focal intestinal perforation).
5. Other intra-abdominal pathology as defined by X-ray or surgery (such as intestinal atresia, malrotation or perforation of the oesophagus or stomach).
Thus, the classes 1 to 3 above correspond to NEC grade 1 to 3, whereas the classes 4 and 5 were not considered NEC. NEC grade 2 + 3 was defined a priori as the primary outcome of the analysis. Descriptions of abdominal ultrasounds were considered (if performed and available). The classifications 1, 2, and 3 are quite similar to Bell’s modified grades [13].
Finally, the records of the infants who developed NEC in the period after the introduction of probiotics were checked for prescription and administration of probiotics.
Data analysis and statistics
The primary outcome was NEC grade 2 + 3 and the secondary outcome was survival to first discharge. The odds ratios and 95% confidence limits were calculated (SPSS statistics 17.0).
The power analysis was based on the following estimates. The risk of necrotising enterocolitis (grade 2 + 3) in infants with a gestational age below 30 weeks is about 10% in our department. The latest meta-analyses found a 50% risk reduction in necrotising enterocolitis in the probiotics group [5]. Based on an annual admission of 150 infants, a comparison of two three-year periods should be able to detect a reduction from 10% to 5% at the 5% significance level and with a power of 80%.
The t-test and chisquared with Yates correction were used for direct comparison between the two
periods. Multiple logistic regression using period (probiotics yes/no), gestational age in completed weeks, and birth weight as predictors were used to explore the possibility that a change in case load could have influenced the comparison for NEC 2 + 3 (primary outcome). The postnatal age of first symptoms of suspected or confirmed NEC was transformed logarithmically to achieve a normal distribution, and this age was compared between the groups using a t-test and multiple linear regression with birth weight, gestational age and NEC grade as supplementary independent variables.
Trial registration: clinicaltrials.gov NCT01670916.
RESULTS
A total of 714 infants were included in the analysis: 381 before the introduction of probiotics and 333 after. The mean birth weight was 935 ± 381 g and the mean GA was 27.1 ± 1.7 weeks and did not significantly differ between the groups (Table 1). Of these, 155 infants had a diagnosis of NEC and/or a prescription of metronidazole for acute illness.
A total of 57 infants were classified as NEC grade
2 + 3: 34 before the introduction of probiotics and 23
after. The difference between the incidences in the two periods was not statistically significantly different: odds ratio (OR) 0.75 (p = 0.34, 95% confidence interval (CI): 0.43-1.30). A total of 120 infants died before first discharge: 66 before the introduction of probiotics and 54 after. The difference in mortality between the two groups was not statistically significant: OR 0.92 (p = 0.55, 95% CI: 0.62-1.40).
Multiple regression analyses (Table 2) did not change the OR for NEC grade 2 + 3 significantly compared with the simple relation to probiotics.
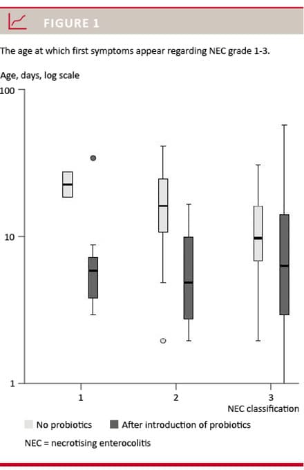
Probiotics were not prescribed or not administered in five of the 23 cases of NEC. This means that they did not get any probiotics before NEC developed although they should have per protocol. Furthermore, eight of the 23 cases of NEC had symptoms of NEC before the third day of life. Symptoms of NEC grade 1 to 3 appeared at a median age of 14 days (interquartile range: 8-23 days) in the first group and at a median age of six days (interquartile range: 4-8 days) after introduction of probiotics (p = 0.004) (Figure 1). This difference was not affected by correction for the effects of gestational age, birth weight or NEC grade, or by limiting the comparison to NEC grade 2 + 3 (p = 0.016).
DISCUSSION
The introduction of probiotics did not result in a statistically significant decrease in the risk of NEC or mortality in our practice although the relatively broad confidence interval overlaps with the confidence intervals found in several meta-analyses of the outcome regarding NEC.
There are a number of reasons for the failure to confirm our hypothesis:
1. We obtained less power than expected. A misjudgement was made in the power calculation when planning the study. All admissions were used for the power calculation including readmissions of infants, e.g. infants with NEC admitted for reconstructive surgery.
2. 22% of the cases with NEC grade 2 + 3 did not receive probiotics at all. This was partly due to inertia of clinical practice.
3. Our infants had a lower mean gestational age and a lower birth weight than those included in most randomised controlled trials. It is not clear whether this may decrease or increase the prophylactic effect of probiotics. The meta-analyses on probiotics in extremely preterm infants, however, are characterised by a lack of evidence [3, 14].
4. Unpasteurised maternal milk was used routinely, though often frozen and thawed. It is assumed that this reduces the risk of NEC although it has not been examined in randomised studies. In cases of insufficient mother’s milk, we supplemented with pasteurised human donor milk. However, it is less clear if this is significantly better than preterm formula for prevention of NEC, and as there was no difference in this practice between the periods, this may possibly “dilute” the benefits of probiotics in our settings.
5. Our definition and grading of NEC was similar, but not identical to the modified Bell grades because we gave priority to blinding of the diagnostic and grading process rather than to giving the panel access to all clinical data.
The most important limitation of the study remains that despite of its premeditation and planning, this was a historically controlled study. We reintroduced routine use of prophylactic indomethacin in infants with a gestational age below 26 weeks early in 2010. But prophylactic indomethacin is not known to affect the incidence of NEC [15], and infants with signs and symptoms of a persistent arterial duct were treated with indomethacin in both periods. No other major changes in clinical guidelines were made during the study period.
The faster appearance of symptoms of NEC after the introduction of probiotics and perhaps the increased risk of NEC grade 1 were unexpected and deserve exploration. It is possible that exposure of the “virgin”
preterm intestine to a relatively large load of bacterial antigens may accelerate the gut response to bacterial colonisation [16]. Clinical symptoms of NEC may reflect an inflammatory response, possibly through activation of the TLR4 signalling system [17]. This may happen despite the low pathogenicity of the probiotic strains.
Probiotic prophylaxis – like many other interventions – involves questions of timing, dosage and whether “one size fits all”. Should probiotics be given from the first feed to establish a benign gut microflora? Of the 23 cases of NEC grade 2 + 3 in the second period, eight had symptoms of NEC before they received the probiotics that may have helped them. Probiotics may protect infants with a more robust gut and yet induce NEC in infants with a more vulnerable gut. A small, late dose may be inefficient and a higher, earlier dose may be detrimental. We will continue to use probiotics as recommended by others [18]. However, while the clinical significance of the earlier appearance of symptoms is unclear and NEC grade 1 is not a major morbidity, it does cause delays in enteral feeding and requires medication. We will monitor upcoming evidence and plan to perform a meta-analysis of non-randomised trials.
In conclusion, we demonstrated a statistically insignificant reduction of NEC grade 2 and 3 (OR = 0.75,
p = 0.34) without clinically important side effects. We will continue the use of probiotics, but there is a need to
examine the effect by meta-analysis of studies like the present study. Unexpectedly, NEC symptoms appeared earlier in the latter period. This finding deserves exploration.
Correspondence: Gorm Greisen. E-mail: greisen@rh.dk
Accepted: 3 December 2015
Conflicts of interest:Disclosure forms provided by the authors are available with the full text of this article at www.danmedj.dk
Referencer
REFERENCES
Neu J, Walker WA. Necrotizing enterocolitis. N Engl J Med 2011;364:255-64.
Wang Q, Dong J, Zhu Y. Probiotic supplement reduces risk of necrotizing enterocolitis and mortality in preterm very low-birth-weight infants: an updated meta-analysis of 20 randomized, controlled trials. J Pediatr Surg 2012;47:24-8.
AlFaleh K, Anabrees J. Probiotics for prevention of necrotizing enterocolitis in preterm infants. Cochrane Database Syst Rev 2014:4:CD005496.
Deshpande G, Rao S, Patole S et al. Updated meta-analysis of probiotics for preventing necrotizing enterocolitis in preterm neonates. Pediatrics 2010;125:921-30.
Fallon EM, Nehra D, Potemkin AK, Gura KM et al. ASPEN clinical guidelines: nutrition support of neonatal patients at risk for necrotizing enterocolitis. J Parenter Enteral Nutr 2012;36:506-23.
Mihatsch WA, Braegger CP, Decsi T et al. Critical systematic review of the level of evidence for routine use of probiotics for reduction of mortality and prevention of necrotizing enterocolitis and sepsis in preterm infants. Clin Nutr 2012;31:6-15.
Rottwell PM. External validity of randomised controlled trials: to whom do the results of this trial apply. Lancet. 2005;365(9453):82-93.
Janvier A, Malo J, Barrington KJ. Cohort study of probiotics in a North American neonatal intensive care unit. J Pediatr 2014;164:980-5.
Li D, Rosito G, Slagle T. Probiotics for the prevention of necrotizing enterocolitis in neonates: an 8-year retrospective cohort study. J Clin Pharm Ther 2013;38:445-9.
Mihatsch WA, Vossbeck S, Eikmanns B et al. Effect of Bifidobacterium lactis on the incidence of nosocomial infections in very-low-birth-weight infants: a randomized controlled trial. Neonatology 2010;98:156-63.
Mohan R, Koebnick C, Schildt J et al. Effects of Bifidobacterium lactis Bb12 supplementation on intestinal microbiota of preterm infants: a double-blind, placebo-controlled, randomized study. J Clin Microbiol 2006;44:4025-31.
Romeo MG, Romeo DM, Trovato L et al. Role of probiotics in the prevention of the enteric colonization by Candida in preterm newborns: incidence of late-onset sepsis and neurological outcome. J Perinatol 2011;31:63-9.
Bell MJ, Ternberg JL, Feigin RD et al. Neonatal necrotizing enterocolitis: therapeutic decisions based upon clinical staging. Ann Surg 1978;187:1-7.
Alfaleh K, Anabrees J, Bassler D. Probiotics reduce the risk of necrotizing enterocolitis in preterm infants: a meta-analysis. Neonatology 2010;97:93-9.
Fowlie PW, Davis PG, McGuire W. Prophylactic intravenous indomethacin for preventing mortality and morbidity in preterm infants. Cochrane Database Syst Rev 2010;7:CD000174.
Claud EC, Lu L, Anton PM et al. Developmentally regulated IkappaB expression in intestinal epithelium and susceptibility to flagellin-induced inflammation. Proc Natl Acad Sci U S A 2004;101:7404-8.
Leaphart CL, Cavallo J, Gribar SC et al. A critical role for TLR4 in the pathogenesis of necrotizing enterocolitis by modulating intestinal injury and repair. J Immunol 2007;179:4808-20.
Deshpande GC, Rao SC, Keil AD et al. Evidence-based guidelines for use of probiotics in preterm neonates. BMC Med 2011;9:92.