Fakta
Fakta
Abstract
INTRODUCTION: The Lewinnek and Callanan “safe zones” have been widely used to minimise the dislocation frequency in total hip arthroplasty (THA), but recent studies have questioned the association between “safe zones” and lower dislocation rates. The purpose of this study was to investigate: 1) if hip surgeons agree on a specific “safe zone” for cup positioning and 2) surgeons’ surgical practice patterns regarding recurring instability in primary THA.
METHODS: A survey was performed among hip surgeons during the 2015 Annual Meeting of the Danish Orthopaedic Society. The survey contained questions on optimal component positioning, surgical practice patterns in primary THA, indications and surgical techniques used in revision THA.
RESULTS: A total of 42 questionnaires were collected, two were excluded, leaving 40 for analyses. 97% of the surgeons reported an optimum cup anteversion within the Lewinnek and Callanan “safe zones”, whereas 97% and 83% reported optimum cup inclination within the Lewinnek and Callanan “safe zones”, respectively. The reported range for optimal cup positioning varied from 30-55 degrees of inclination and 15-30 degrees of anteversion. The minimum and maximum accepted cup inclination and anteversion within the Lewinnek “safe zone” was 68% and 67%, respectively.
CONCLUSIONS: Hip surgeons agree that optimum cup positioning should lie within the Lewinnek “safe zone”, but they do not agree on the exact optimal cup positioning with respect to inclination and anteversion. This is in accordance with current evidence that strict usage of the Lewinnek “safe zone” cannot be justified.
FUNDING: none.
TRIAL REGISTRATION: not relevant.
Dislocation is a well-known postoperative complication after total hip arthroplasty (THA) and it is associated with varying dislocation frequency as reported rates range from less than 1% up to 9% [1, 2]. Surgical factors such as acetabular component positioning, posterior soft tissue repair and combined anteversion technique of the acetabular and femoral components have been shown to play a role with respect to instability following primary THA [3-6] operated with a posterolateral approach.
In the late 1970s, Lewinnek et al [4] suggested a radiological “safe zone” (an inclination of 40 ± 10 degrees and anteversion of 15 ± 10 degrees) for positioning of the acetabular component in THA, within which the risk of dislocation could be reduced. In this often-cited study, the rate of dislocation was 1.5% for cups positioned within the defined “safe zone”, whereas the dislocation rate was 6.1% for cups placed outside the “safe zone”. In 2011, Callanan et al [7] proposed a modified “safe zone” that could minimize the dislocation rate, where the upper limit of inclination was reduced to 45 degrees in order to account for edge loading, which had been shown to occur in acetabular components placed at > 45 degrees of inclination [8]. Similarly, Barrack et al [9] defined an acceptable target range (inclination of
30-55 degrees and anteversion of 5-35 degrees) that showed an improved accuracy of component positioning. However, recent literature has questioned the association between these “safe zones” and minimising the risk of dislocation after THA [10]. In a recent retrospective study, Abdel et al [10] found that THAs performed through a posterior approach were three times more likely to be positioned within the “safe zone” than THAs performed through an anterolateral approach, even though a higher risk of dislocation was associated with a posterior approach than with an anterolateral approach. To our knowledge, hip surgeons’ opinions about cup positioning in primary THA have yet to be demonstrated in published literature.
Therefore, the purpose of this study is: 1) to determine if a general consensus exists among Danish hip surgeons regarding a specific “safe zone” for acetabular cup positioning and 2) to investigate hip surgeons’ surgical practice patterns concerning recurring instability in primary THA.
METHODS
We performed a survey among hip surgeons who attended a meeting in the Society of Danish Hip and Knee Arthroplasty Surgeons during the 2015 Annual Meeting of the Danish Orthopaedic Society. The audience was introduced to the survey at the beginning of the meeting, and hip surgeons were invited to participate during the session by answering the questionnaire which had been handed out beforehand.
The questionnaire consisted of 17 questions, the majority were multiple choice questions, about optimal component positioning, operative practice patterns in primary THA, indications for revision total hip arthroplasty, surgical techniques used in revisions and, lastly,
a few questions about the hip surgeons’ professional
occupation and experience [11]. The proportion of surgeons indicating optimal acetabular component positioning within the Lewinnek “safe zone” [4], the Callanan “safe zone” [7] and the Barrack target range [9] were calculated. The proportion of surgeons indicating maximal and minimal acceptable acetabular component positioning within the Lewinnek “safe zone” [4], the Callanan “safe zone” [7] and the Barrack target range [9] were also calculated.
Data gathered from the questionnaires were stored in an MS Excel spreadsheet. A p-value < 0.05 was considered statistically significant. All analyses were performed using SPSS statistics software (version 21, IBM).
Trial registration: not relevant.
RESULTS
A total of 42 questionnaires were collected during the meeting. However, not all the questionnaires had been fully completed. Two of the questionnaires were excluded as one respondent was a knee surgeon, which was specified on the questionnaire, and another respondent had no years of experience as a specialist and worked in a hospital where no THAs were performed, thus leaving 40 questionnaires for analysis.
Table 1 presents an overview of optimum, minimum and maximum accepted angles in inclination and anteversion for acetabular component positioning based on answers from the gathered questionnaires.
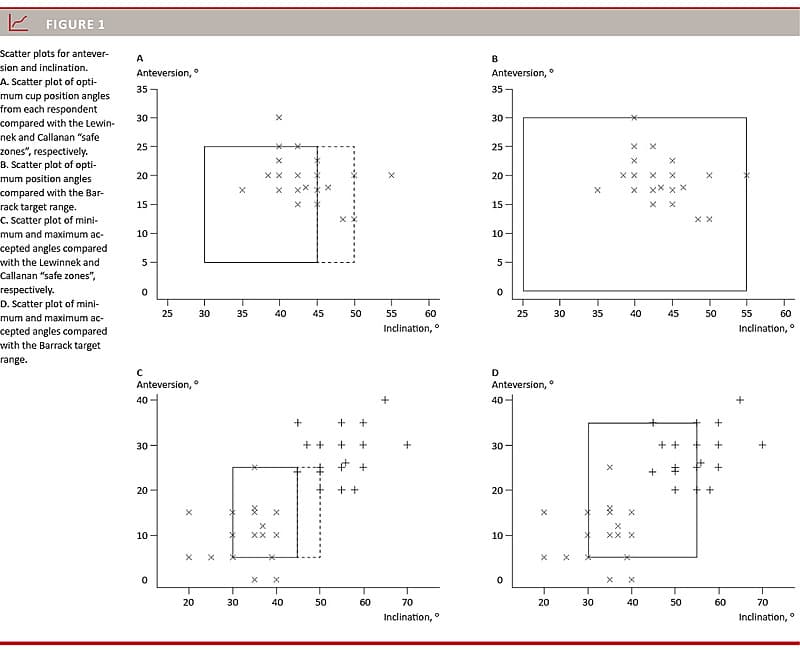
Scatter plots in Figure 1 show each surgeons’ response regarding anteversion and inclination angles compared with the widely accepted “safe zones” set by Lewinnek et al [4] and Callanan et al [7], respectively, as well as the target range established by Barrack et al [9]. A total of 97% of the surgeons stated optimum anteversion angles within both the Lewinnek and Callanan “safe zones”, whereas 97% of the respondents indicated optimum inclination angles within the Lewinnek “safe zone” and 83% fell within the “safe zone” set by Callanan (Figure 1).
A total of 68% of the surgeons’ assessment of minimum and maximum accepted inclinations were within the Lewinnek “safe zone”, whereas 79% were within the Barrack target range. A total of 67% of the respondents indicated minimum and maximum accepted anteversion angles within the Lewinnek “safe zone”, whereas 95% were within the Barrack target range.
The number of annually performed THAs for each surgeon varied from a minimum of zero to a maximum of 200 procedures, with an average of 92 THAs performed annually. A summary of the answers gathered from our survey in regard to operative practice patterns in primary THA is shown in Table 2.
Concerning surgical technique, one surgeon placed the femural component before inserting the acetabular component and did not use combined anteversion technique. The current practice pattern shows that 75% of the surgeons stated the use of anatomical landmarks when inserting the acetabular component, whereas 87% of the surgeons reported the use of posterior soft tissue repairs in the
majority of their operations.
Reoperation for dislocation was offered when a mean of 2.9 dislocations had occurred within one year, and when satisfactory component positioning on radiographs, restoration of leg length and off-set had been achieved. Questions regarding perioperative decisions with regard to hip instability are summarized in Table 3.
When reoperation is offered, 40% of the hip surgeons use dual mobility cups and 60% use constrained liners in revision THA. Out of the 40 hip surgeons who participated in the survey, only 20% advise movement restrictions to patients who have undergone surgery.
DISCUSSION
Our study suggests that Danish hip surgeons’ opinion on optimum cup angle position lies within both the “safe zones” defined by Lewinnek et al [4] and by Callanan et al [7] as well as within the target range defined by Barrack [9], with median inclination and median anteversion among the respondents being 44 and 20 degrees, respectively. A total 68% of the minimum and maximum accepted inclination angles by surgeons lie within the Lewinnek “safe zone”. Furthermore, 67% of the minimum and maximum anteversion angles fell within the Lewinnek “safe zone”. The minimum and maximum accepted angles in inclination and anteversion compared with the Barrack target range were 79% and 95%, respectively. This suggests that no general consensus exists on optimal component position, as the range for optimal component positioning reported by surgeons, while being within the Lewinnek “safe zone” in 97% for inclination and anteversion, respectively (Figure 1), range of 30-55 degrees of inclination and 15-30 degrees of anteversion (Table 1).
In a prospective study, Bosker et al [12] concluded that the surgeons’ estimation of cup positioning within the Lewinnek “safe zone” had an accuracy of 70.5%, which correlates with our main findings. In contrast, Callanan et al [7] found that only 47% of the cups in their study were positioned within both their own “safe zone” and the Lewinnek “safe zone”. Based on prospective surgeon consensus rather than literature exclusively, a target range was defined by Barrack et al [9], and 88% of the components in their study were positioned within their target range. Our findings that the majority of hip surgeons indicate that maximal and minimal acceptable inclination and anteversion of the acetabular component should be within the “safe zone” suggest that the surgeons set unrealistic goals for cup positioning, or at least goals that are difficult to achieve in a clinical setting. Cup malpositioning can lead to multiple complications [4, 8]. Consequently, as one third of the accepted safe zones are outside the Lewinnek “safe zone”, cup positioning here may compromise survival of the prosthesis due to wear, and a change in behaviour should be encouraged so that the accepted angles at least meet the Barrack target range. However, minimising the risk of dislocation after THA by positioning cups in “safe zones” has been questioned [10]. Lewinnek’s study [4] is based on a small population, and a recent systematic review [13] found that the Lewinnek “safe zone” was not justifiable as the zone was not associated with a statistically significant reduction of dislocations.
One respondent in our survey placed the femur component before the cup in primary THA, but did not use combined anteversion technique. Nakashima et al [5] reported that combined anteversion technique, where the acetabular component is placed in relation to the achieved anteversion of the femur component, has an important role in decreasing the dislocation rate as well as the importance of establishing the anteversion of the femur component prior to the positioning the acetabular component.
Positioning of the acetabular cup with the help of anatomical landmarks in primary THA is widely used among Danish hip surgeons. Sotereanos et al [6] reported a reduction of the dislocation rate to less than 1% when anatomical landmarks were used to position the acetabular component properly. A prospective, randomised study demonstrated a significant difference between freehand positioning of the acetabular component and use of the transverse acetabular ligament (TAL) as an anatomical landmark, and showed that the use of TAL resulted in a more accurate positioning of the acetabular component with respect to anteversion [14]. However, in cases where osteoarthritis is secondary to hip dysplasia, the use of TAL for cup positioning guidance is not a reliable method as anatomical relations differ in patients with hip dysplasia [15]. Additionally, a lateral centre-edge angle of < 25 degrees is associated with an increased risk of cup malpositioning [16]. Nearly
every responding hip surgeon in our survey performs THAs using a posterolateral approach with only three surgeons reporting the use of an anterolateral approach. Additionally, the majority of respondents make use of posterior soft tissue repair, which has been documented to lower the dislocation rate for THA through a posterolateral approach [3].
In our survey, movement restrictions are imposed only by 20% of Danish hip surgeons, which is supported by Gromov et al [17], who recently found no increase of the early dislocation rate following the removal of restrictions after primary THA using a posterolateral approach. The three surgeons who did use an anterolateral approach did not apply postoperative restrictions, which is in line with findings by Restrepo et al [18] who found no increase in the prevalence of dislocation for patients who underwent primary THA using a direct anterior or anterolateral approach using a no-restriction protocol.
A total of 40% of the respondents in our survey use dual mobility cups and 60% use constrained liners when revising primary THA due to recurrent dislocations with satisfactory radiological positioning of components
and restorations of leg length and off-set. Dual mobility cups have shown to be a valid option for hip instability yielding lower dislocation rates [19]. Recently, Jo et al reported that constrained liners can be helpful with re-
dislocations in revision THA, but also that this will not lower the rate of re-revisions [20]. There are several limitations to our study. As the total number of eligible respondents to this survey remains unknown, a low response rate could limit the survey‘s representativeness for all Danish hip surgeons, but it is estimated that the occasion in which the survey was performed is the single place where the highest number of active Danish hip surgeons have recently been gathered. While we did not specify the method of measurement of the acetabular component in the questionnaire, which would have been relevant, the measurement based on AP pelvic radiographs is most commonly used [13]. The findings above are useful for describing the current surgical practice patterns among hip surgeons and may help guide the interpretation of future studies.
CONCLUSIONS
There is a general consensus among Danish hip surgeons that optimum cup positioning lies within the Lewinnek or Callanan “safe zones”; however, there is no consensus on the exact optimal positioning of the acetabular component with respect to inclination and anteversion. This is in accordance with current evidence that strict usage of the Lewinnek “safe zone” cannot be justified. Current operative practice patterns among the majority of Danish hip surgeons were thus found to be supported by existing published literature.
CORRESPONDENCE: Dana Cotong. E-mail: dcotong@gmail.com
ACCEPTED: 26 January 2017
CONFLICTS OF INTEREST: none. Disclosure forms provided by the authors are available with the full text of this article at www.danmedj.dk
Referencer
LITERATURE
Ekelund A, Rydell N, Nilsson OS. Total hip arthroplasty in patients 80 years of age and older. Clin Orthop Relat Res 1992:101-6.
Mahoney CR, Pellicci PM. Complications in primary total hip arthroplasty: avoidance and management of dislocations. Instr Course Lect 2003;52:247-55.
Kwon MS, Kuskowski M, Mulhall KJ et al. Does surgical approach affect total hip arthroplasty dislocation rates? Clin Orthop Relat Res 2006;447:34-8.
Lewinnek GE, Lewis JL, Tarr R et al. Dislocations after total hip-replacement arthroplasties. J Bone Joint Surg Am 1978;60:217-20.
Nakashima Y, Hirata M, Akiyama M et al. Combined anteversion technique reduced the dislocation in cementless total hip arthroplasty. Int Orthop 2014;38:27-32.
Sotereanos NG, Miller MC, Smith B. Using intraoperative pelvic landmarks for acetabular component placement in total hip arthroplasty. J Arthroplasty 2006;21:832-40.
Callanan MC, Jarrett B, Bragdon CR et al. The John Charnley Award: risk factors for cup malpositioning: quality improvement through a joint registry at a tertiary hospital. Clin Orthop Relat Res 2011;469:319-29.
Leslie IJ, Williams S, Isaac G, et al. High cup angle and microseparation increase the wear of hip surface replacements. Clin Orthop Relat Res 2009;467:2259-65.
Barrack RL, Krempec JA, Clohisy JC et al. Accuracy of acetabular component position in hip arthroplasty. J Bone Joint Surg Am 2013;95:1760-8.
Abdel MP, von Roth P, Jennings MT. What safe zone? The vast majority of dislocated THAs are within the Lewinnek safe zone for acetabular component position. Clin Orthop Relat Res 2016;474:386-91.
www.CORH.dk (17 Jan 2017).
Bosker BH, Verheyen CC, Horstmann WG et al. Poor accuracy of freehand up positioning during total hip arthroplasty. Arch Orthop Trauma Surg 2007;127:375-9.
Seagrave KG, Troelsen A, Malchau H et al. Acetabular cup position and risk of dislocation in primary total hip arthroplasty. Acta Orthop 2017;88:10-7.
Meermans G, Van Doorn WJ, Koenraadt K et al. The use of the transverse acetabular ligament for determining the orientation of the components in total hip replacement: a randomised controlled trial. Bone Joint J 2014;96-B:312-8.
Abe H, Sakai T, Hamasaki T et al. Is the transverse acetabular ligament a reliable cup orientation guide? Acta Orthop 2012;83:474-80.
Gromov K, Greene ME, Huddleston JI et al. Acetabular dysplasia and surgical approaches other than direct anterior increases risk for malpositioning of the acetabular component in total hip arthroplasty. J Arthroplasty 2016;31:835-41.
Gromov K, Troelsen A, Otte KS et al. Removal of restrictions following primary THA with posterolateral approach does not increase the risk of early dislocation. Acta Orthop 2015;86:463-8.
Restrepo C, Mortazavi SM, Brothers J et al. Hip dislocation: are hip precautions necessary in anterior approaches? Clin Orthop Relat Res 2011;469:417-22.
Hailer NP, Weiss RJ, Stark A et al. Dual-mobility cups for revision due to instability are associated with a low rate of re-revisions due to dislocation: 228 patients from the Swedish Hip Arthroplasty Register. Acta Orthop 2012;83:566-71.
Jo S, Jimenez Almonte JH, Sierra RJ. The cumulative risk of re-dislocation after revision THA performed for instability increases close to 35% at 15 years. J Arthroplasty 2015;30:1177-82.