Fakta
Fakta
Abstract
Introduction: Barbiturates are potent drugs for treatment of alcohol withdrawal symptoms, but they entail a risk of over-dosage and respiratory depression. The purpose of the present study was to investigate the correlation between phenobarbital dose and phenobarbital blood concentration in patients withdrawing from long-term alcohol intoxication.
Material and methods: A total of 497 patients who were hospitalized for treatment of alcohol withdrawal symptoms during an 18-month period were enrolled in the study. Phenobarbital 200 mg was administered orally every 30 or 60 minutes in response to the observed symptoms. Within the first 24 hours after admission, i.e. at 8 AM, blood was collected for determination of phenobarbital concentration, and the cumulated dose of phenobarbital at the time of the blood sampling was registered.
Results: The mean cumulated phenobarbital dose at the time of the blood sampling was 877 mg ± 557 mg, while the mean plasma phenobarbital concentration was 104 micromol/l ± 62 micromol/l. A statistically significant linear correlation between phenobarbital dose and concentration was found for both males and females as 83% and 84% of the variation in drug concentration, respectively, could be explained by the phenobarbital dose. We observed no serious complications of the phenobarbital treatment – including respiratory problems or severe sedation.
Discussion: The strong linear correlation between phenobarbital dose and concentration suggests that absorption of plasma phenobarbital from the gastrointestinal system is highly predictable.
Alcohol withdrawal symptoms include tremor, agitation, tachycardia and sweating [1]. Some patients develop more severe symptoms such as seizures, visual hallucinations or delirium tremens. The latter condition is a true medical emergency which, if left untreated, has a mortality rate of 15% [2]. In Denmark, barbiturates have been used for a century in the treatment of alcohol withdrawal symptoms including delirium tremens [3]. Worldwide, benzodiazepines are regarded as the drug of choice in alcohol withdrawal [4]. In a recent Cochrane review, benzodiazepines were found to be more efficient than placebo, whereas it was not possible to draw definite conclusions about the relative effectiveness and safety of benzodiazepines against other alcohol with-drawal drugs [5]. Although barbiturates have never been tested against placebo in randomized trials, barbital was shown to be more efficient than diazepam in the treatment of delirium tremens [6]. A major concern in relation to the use of barbiturates, including phenobarbital, is that these drugs supposedly carry a risk of fatal intoxication by causing respiratory depression. In another retrospective study conducted at our department, we only detected two cases with respiratory depression among 73 patients with delirium tremens who had been treated with phenobarbital during an 8-year period. No respiratory problems were registered among 22 patients with pre-delirium in the same study, i.e. patients who had physical withdrawal symptoms and visual hallucinations, but showed no clouding of consciousness [7].
It is a widespread hypothesis among Danish physicians and nurses treating alcohol withdrawal patients that the absorption rate of phenobarbital may decrease due to slow gastric emptying, leading to a potential risk of over-dosage if large amounts of phenobarbital remain in the gastrointestinal system when sedation caused by the phenobarbital already absorbed sets in. This hypothesis is not based on scientific evidence. In fact, the absorption rate in non-alcoholic subjects is quite rapid [8] and there is no reason to assume that alcoholics should differ in this regard. The purpose of the current study was to investigate the hypothesis of delayed phenobarbital absorption by analysing blood samples from patients who were being treated for alcohol withdrawal, and by studying the correlation between phenobarbital dose and its concentration.
MATERIAL AND METHODS
This prospective study comprised patients of either sex who were admitted to Psychiatric Centre Gentofte, Copenhagen University Hospitals, Denmark, for detoxification or treatment for alcohol withdrawal symptoms in the period from 20 February 2007 to 24 August 2008. For each patient we registered gender, age and blood alcohol concentration upon admittance. Blood samples for measurement of phenobarbital plasma concentration were collected at 08.00 AM, and the cumulated phenobarbital doses were registered at the time the blood samples were taken and upon discharge. The phenobarbital concentration in blood was measured by the hospital’s Department of Clinical Chemistry as part of their daily routine using Vitros MicroSlide technology in a fully automated process (Ortho Clinical Diagnostics, UK). Since phenobarbital metabolizes slowly with a half-life of approximately 90 hours [8], patients who had received phenobarbital 14 days before admission were excluded. Thus, the study did not include those who had been treated for alcohol withdrawal at the ward within the preceding two weeks of admission. Using the with-drawal items tremor, sweating, tachycardia (pulse rate > 90), increased psychomotor activity and the patients’ subjective experience of restlessness, a nurse made a global rating as to whether withdrawal symptoms were present or not [9]. In addition, vital signs such as pulse rate, blood pressure and temperature were measured regularly in patients who were awake. In the sleeping patients, a nurse observed if respiration was regular without signs of airway obstruction and also recorded the rate of respiration on an hourly basis. In patients who were awake, 200 mg phenobarbital was administered orally every hour if withdrawal symptoms were present according to the rating of the nurse, i.e. administration was undertaken if symptoms were present. In case of severe symptoms, the same dose of phenobarbital was administered every 30 minutes. The need for further phenobarbital was evaluated by the physician in charge when 1,200 mg of phenobarbital had been administered and subsequently after administration of each cumulated 600 mg dose, but there was no limit to the total cumulated dose of phenobarbital. The treatment aimed to terminate the physical withdrawal symptoms and sleep from which the patient could be woken by light or moderate touch.
Whereas the present study population was treated at the Emergency Ward of the Psychiatric Department, the majority of patients who were admitted with delirium tremens or who developed delirium tremens (DT) during therapy were transferred to and treated at a closed ward. As blood phenobarbital levels were not systematically measured in patients admitted to the closed wards, these subjects were not included in the study.
The patients were evaluated upon admittance by the receiving physician as to the occurrence of signs of thiamine insufficiency, i.e. cognitive disturbances, ocular paralysis or gait ataxia. If any of these three symptoms were present, patients were treated with thiamine 400 mg intravenously three times a day until symptoms receded, while patients in whom thiamine insufficiency was not suspected received 200 mg of thiamine intramuscularly. On day 2, all patients were evaluated by a certified psychiatry specialist who decided whether the patient had Wernicke’s encephalopathy. This syndrome was defined clinically by the presence of any of the three mentioned symptoms, provided that these could not be accounted for by alcohol intoxication or delirium.
Statistical analyses of the relation between phenobarbital concentration (micromol/l) and phenobarbital dose (mg) was performed as simple linear regression analyses and generalized linear modelling. The latter method was used to compare marginal changes in plasma phenobarbital (p-phenobarbital) concentration due to differences in the phenobarbital dose between males and females. The level of significance was p = 0.05 and all tests were double-sided. Quantitative data are presented as mean ± standard deviation.
RESULTS
A total of 497 cases, 305 men and 192 women, were admitted for alcohol detoxification or treatment for alcohol withdrawal symptoms. The study population consisted of 241 patients among whom 141 patients were only admitted once while 95 patients were admitted twice or more. Two of the 241 patients each developed DT once and were included in the present study as they were not transferred to the closed ward. In addition, a total of 23 cases (19 patients) who were either delirious upon admittance or developed DT during the withdrawal phase were admitted to a closed ward and not included in the study. The mean age of the study population was 51.9 ± 9.5 years, the mean duration of hospitalization was 1.34 ± 0.59 day and the mean alcohol concentration at admission was 1.5 ± 1 g/l. Some patients did not receive phenobarbital as they did not develop withdrawal signs, in some cases blood samples were not collected in the morning on day 2, and some patients were excluded because they had received phenobarbital within the previous two weeks. Thus correlation between phenobarbital dose and concentration was performed on a total of 348 patients (212 men and 136 women). The mean cumulated phenobarbital dose at the time of blood sampling was 877 mg ± 557 and the mean total cumulated phenobarbital dose was 1,005 mg ± 659 mg. The mean p-phenobarbital concentration was 104 ± 62 micromol/l.
Wernicke’s encephalopathy was observed in 49 of the 497 cases of the study population and in three of 23 DT patients who were admitted to the closed ward.
No serious complications to the phenobarbital treatment were observed. Thus, we detected no mortal outcomes, cardiovascular or respiratory insufficiency, and no cases of respiratory depression (defined as rate of respiration below ten per minute), respiratory obstruction, apnoea (more than ten seconds between two subsequent breaths) or pneumonia. In no case did we find it necessary to transfer the patients to a somatic department or to the Intensive Care Unit due to phenobarbital intoxication. Mild side effects such as dizziness, sedation and cognitive disturbances, which are often encountered in alcoholics treated with phenobarbital at our ward, were not systematically monitored in the present study.
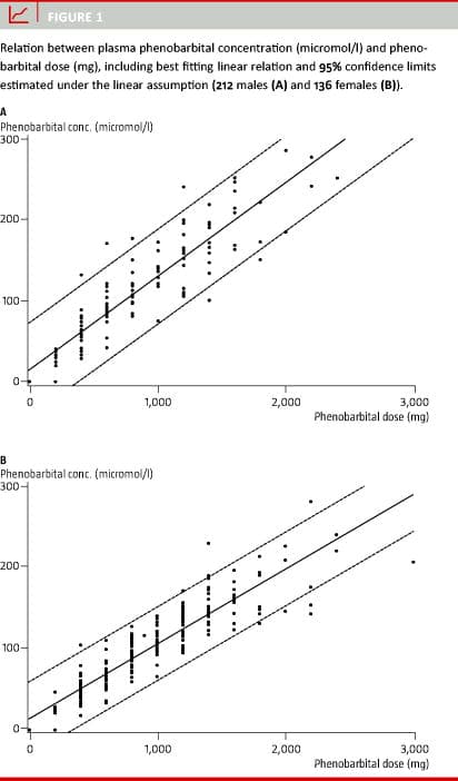
The relation between phenobarbital concentration (micromol/l) and phenobarbital dose (mg) is shown in Figure 1 for females and males separately as structural gender differences were anticipated.
The distinct linear structure can be tested statistically, yielding the following key statistics: R2 = 0.84 (females) and R2 = 0.83 (males). Both associations have significant slopes (0.092 for females and 0.116 for males). The variation in phenobarbital concentration can therefore be explained satisfactorily by variation in phenobarbital dose.
Based on the estimated regression models, a simple cross-gender comparison can be undertaken. Generalized linear modelling techniques were used to test the degree of equality of the two slopes, i.e. marginal changes. The resulting t-value -4.66 indicates that the marginal change of phenobarbital concentration (micromol/l) for each change in the levels of phenobarbital dose (mg) is significantly higher for males than for females.
DISCUSSION
Among both male and female alcoholics, we found a linear correlation between the cumulated dose and the blood phenobarbital concentration, which explained 83% and 84% of the total variation in phenobarbital concentration, respectively. Thus, the blood phenobarbital concentration when administered to patients going into alcohol withdrawal is highly predictable for a given dose of the drug [8]. This finding clearly increases the clinical usefulness of phenobarbital, if this drug is chosen, and it allows an aggressive treatment strategy aiming at quickly alleviating the physical withdrawal symptoms and preventing the development of DT. The strong correlation between the dose and phenobarbital serum concentration fits well with the lack of serious complications during phenobarbital treatment observed in the current investigation and in previous clinical studies comprising barbiturates [6, 10, 11]. Altogether, the current investigation has strongly rejected the hypothesis that phenobarbital may be absorbed slowly by alcohol withdrawal patients thereby entailing risk for over-dosage and possible respiratory failure.
Comparison of the slopes of the linear association between phenobarbital dose (mg) and blood phenobarbital concentration (micromol/l) of both sexes revealed a significantly steeper slope in males. This may at first seem surprising as the body weight in the general population is higher for males than for females, but such weight differences may not apply to alcoholics. More importantly, however, the percentage of fatty tissue in relation to total body weight is 30-50% higher in females than in males [12]. As barbiturates are lipid-soluble, the distribution volume in females is likely to be increased compared to that of males in an alcoholic population.
Approximately 5% (25 out of 522) of the patients admitted for alcohol withdrawal treatment in the 1.5-year study period of the current investigation developed DT. Whereas physical alcohol withdrawal symptoms are generally rather easy to treat using benzodiazepines or barbiturates, DT is another and much more serious matter. It has been shown that aggressive diazepam treatment in DT patients can decrease the frequency of pneumonia; a serious complication to DT [13]. Further, resistance to diazepam treatment is associated with an increased pneumonia rate compared to diazepam-responders [14]. It seems reasonable to assume that an aggressive phenobarbital treatment regimen may also decrease the risk of pneumonia. In addition, it is pos-sible, at least in theory, to avoid DT in patients in whom phenobarbital treatment is started when the patient only experiences physical withdrawal symptoms. The present results warrant administration of larger doses than those used in the present investigation owing to the apparently fast absorption. We have therefore changed the treatment protocol at our department so that patients with severe withdrawal symptoms now receive 400 mg phenobarbital every half hour as needed according to the symptoms observed. We have employed this new regimen for 12 months, having treated more than 300 patients for alcohol withdrawal in this period. The patients are satisfied as their very unpleasant withdrawal reactions recede quickly, and we have had no serious complications concerning this treatment regimen. It would be interesting to test under controlled conditions whether our preliminary observations are valid. It should, however, be stressed that the present data from a safe hospital setting cannot be extrapolated to outpatient treatment where intake of alcohol following phenobarbital administration may have serious consequences.
CONCLUSION
In conclusion, we found a linear correlation between phenobarbital dose and concentration in patients treated for alcohol withdrawal symptoms. No serious complications were observed. Based on these results, it is justified to increase the aggressiveness of the treat- ment by using higher doses of phenobarbital in the initial treatment phase. This strategy may theoretically reduce the incidence of DT, shorten the delirious reaction in those admitted with DT and reduce the incidence of DT-triggered pneumonia which is a life-threatening condition.
Correspondence: Jakob Ulrichsen, Psychiatric Centre Gentofte, Niels Andersens Vej 65, 2900 Hellerup, Denmark. E-mail: jakobulrichsen@mac.com
Accepted: 7 February 2010
Conflicts of interest: None
Referencer
REFERENCES
Guthrie SK. The treatment of alcohol withdrawal. Pharmacotherapy 1989; 9:131-43.
Victor M, Adams RD. The effect of alcohol on the nervous system. Res Publ Assoc Res Nerv Ment Dis 1953;32:526-73.
Møller F. Veronalbehandling af delirium tremens. Ugeskr Læger 1978;71: 1253-9.
Mayo-Smith MF. Pharmacological management of alcohol withdrawal. A meta-analysis and evidence-based practice guideline. American Society of Addiction Medicine Working Group on Pharmacological Management of Alcohol Withdrawal. JAMA 1997;278:144-51.
Ntais C, Pakos E, Kyzas P et al. Benzodiazepines for alcohol withdrawal. Cochrane Database Syst Rev 2005;(3):CD005063.
Kramp P, Rafaelsen OJ. Delirium tremens: a double-blind comparison of diazepam and barbital treatment. Acta Psychiatr Scand 1978;58:174-90.
Lutzen L, Poulsen LM, Ulrichsen J. [Respiratory depression in delirium tremens patients treated with phenobarbital. A retrospective study]. Ugeskr Læger 2008;170:2018-22.
Viswanathan CT, Booker HE, Welling PG. Bioavailability of oral and intra-muscular phenobarbital. J Clin Pharmacol 1978;18:100-5.
Kristensen CB, Rasmussen S, Dahl A et al. The withdrawal syndrome scale for alcohol and related psychoactive drugs: Total scores as guidelines for treatment with phenobarbital. Nord J Psychiatry 1986;40:139-46.
Hasselbalch E, Timm S, Nordentoft M et al. Delirium tremens and physical alcohol withdrawal: A double blind comparison of phenobarbital and barbital treatment. Nord J Psychiatry 1994;48:121-30.
Flygenring J, Hansen J, Holst B et al. Treatment of alcohol withdrawal symptoms in hospitalized patients. A randomized, double-blind comparison of carbamazepine (Tegretol) and barbital (Diemal). Acta Psychiatr Scand 1984;69:398-408.
Kuk JL, Lee S, Heymsfield SB et al. Waist circumference and abdominal adipose tissue distribution: influence of age and sex. Am J Clin Nutr 2005; 81:1330-4.
Gold JA, Rimal B, Nolan A et al. A strategy of escalating doses of benzodiazepines and phenobarbital administration reduces the need for mechanical ventilation in delirium tremens. Crit Care Med 2007;35:724-30.
Hack JB, Hoffmann RS, Nelson LS. Resistant alcohol withdrawal: does an unexpectedly large sedative requirement identify these patients early? J Med Toxicol 2006;2:55-60.