Skip to main content

Low admittance rate after ambulatory laparoscopic surgery

Hans Lovén1, Billy Bjarne Kristensen2 & Thue Bisgaard1

1. jun. 2019
11 min.

Fakta

Fakta

Early post-operative pain may be a limiting factor for discharge after ambulatory laparoscopic surgery, requiring procedure-specific analgesic treatment regimens and possibly even a change in surgical routines [1, 2]. Based on previous trials, it was suggested to lower the laparoscopic pressure from the standard 12 mmHg to 6-8 mmHg to minimise post-operative pain and thereby ensure a satisfactory ambulatory discharge rate [3-6].

We conducted the present explorative study on patients undergoing routine ambulatory laparoscopic surgery using a multimodal analgesic regimen and a standard 12 mmHg laparoscopic pneumoperitoneum and no standard use of neuromuscular blockade. We hypothesised that post-operative pain following ambulatory laparoscopic surgery was a limiting factor for ambulatory surgery. The primary aim of the study was to analyse risk factors for hospital admittance following laparoscopic ambulatory surgery and the secondary aim was to assess the discharge rate.

METHODS

Patients underwent the three following surgical procedures: laparoscopic cholecystectomy and laparoscopic inguinal and umbilical hernia repair. From 1 June 2013 to 31 March 2015, patients were included in this uncontrolled prospective study. The STROBE guidelines for reporting observational studies were followed. Consecutive patients of American Society of Anesthesiologists Physical Status (ASA) I-II were included. Prior to study start, it was decided that ASA III patients would be evaluated individually before ambulatory surgery. Patients with obstructive sleep apnoea, known difficult airways, a BMI > 40 kg/m2, preoperatively stated social/logistic reasons and patients with previous drainage of the gallbladder and major upper abdominal surgery were excluded from ambulatory operation.

Pain at rest was registered repeatedly on a visual analogue scale (VAS: 0 = no pain, 10 = worst imaginable pain) during the the post-anaesthesia care unit (PACU) stay and sufentanil was administered until VAS was 3 and 5 during coughing or mobilisation. Only the maximal VAS was registered in the PACU. Data were registered prospectively in a local hospital and ambulatory surgery database. Discharge criteria from the PACU were structured and based on level of activity, post-operative nausea and vomiting, pain, vital signs and perioperative complications [7]. The closing time of the department was 6 PM.

The anaesthetic and analgesic regimens were standardised and study variables were defined before commencing the study. Surgery was performed under general anaesthesia induced with intravenously administered propofol 2-3 mg/kg and remifentanil 0.5 µg/kg/min. Intubation was used for airway management, and neuromuscular blockade with suxamethon 1 mg/kg was only used on specific indications (gastro-oesophageal reflux or hiatal hernia). Anaesthesia was maintained with continuous infusion of propofol 4-6 mg/kg/h and remifentanil 0.25-0.5 µg/kg/min. Normothermia was maintained with warmed forced air. Intraoperative fluid replacement was 0.9% saline (15 ml/kg/h). Additional neuromuscular blockade during the procedure with mivacurium 0.2 mg/kg was administered on surgeon’s request and repeated as necessary. Neuromuscular blocking agents were monitored using the train-of-four ratio. The multimodal analgesic treatment included preoperative intravenous dexamethasone (16 mg), tablet paracetamol (1 g) and ibuprofen (400 mg), perioperative trocar incision local analgesics infiltration (40 ml ropivacaine 7.5 mg/ml (300 mg) and post-operative intravenous sufentanil 5 µg in the PACU. Transversus abdominis plane block or ilioinguinal block was not used. At discharge, patients were prescribed paracetamol 1 g 1 × 4, ibuprofen 400 mg 1 × 4 and morphine 10 mg as needed for the following three days.

If the patient was not ready for discharge, the main reason (only one reason was allowed) was registered in a log and confirmed by the patients in a structured interview. Re-admittance was defined as return to the hospital within the first 24 h after discharge. All other patients were contacted the morning after their discharge using a standardised questionnaire [8], but a systematic follow-up after 24h was not performed.

Statistics

Data were reported by frequency distribution including 95% confidence intervals as appropriate. Medians (range) and numbers/percentages of patients are reported as appropriate.

Trial registration: Danish Data Protection Agency: 2012-58-0004, Danish Health Authority: 3-3013-1435/1, Clinicaltrial.gov: NCT02782832.

RESULTS

A total of 1,212 consecutive patients were included in the analysis, and all referred patients were eligible for ambulatory surgery. The anaesthesia details are outlined in Table 1. All patients followed the standard multimodal analgesic regimen as planned. A total of 71 patients (6%) and 26 patients (2%) needed neuromuscular blockade during intubation and surgery, respectively, and no patients received reversal agents.

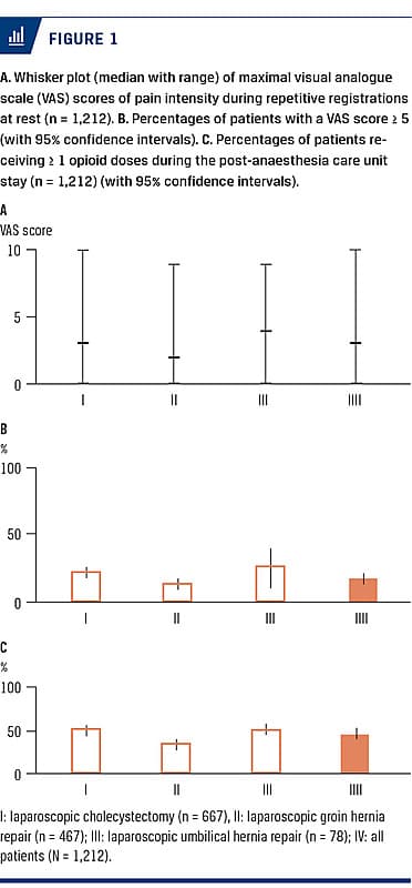
Pain scores and sufentanil administration are shown in Figure 1. The median maximal VAS score during the PACU stay was three (range: 0-10), 208 patients (17%) scored VAS > 5 and 549 patients (45%) received ≥ 1 dose of sufentanil. In all, 46 patients (4%) were admitted to the hospital for one night and 1,166 patients (96%) were discharged after a median stay of 70 min (range: 20-300 min) (Table 1). In 14 patients (1%), pain was the main reason for admittance (Figure 2). Other reasons for hospital admittance were social-logistics (0.8%, n = 10), medical (0.5%, n = 7) and nausea/vomiting (0.2%, n = 3) (Figure 2). Two patients (1%) had intraoperative complications (common bile duct injury (n = 1) and severe neuropathic pain immediately after hernia repair due to mesh fixation tacks. The involved tacks were laparoscopically removed the same day (n = 1)). None of the discharged patients were readmitted to the hospital within the first 24 post-operative hours.

DISCUSSION

This prospective study using a multimodal analgesic regimen showed that pain was very rarely the limiting factor for not being discharged after ambulatory laparoscopic surgery. Out of the 1,212 patients, only 14 patients (1%) were admitted due to post-operative pain and 50% of all patents were discharged within 70 minutes. Opioid use and pain scores between laparoscopic cholecystectomy, inguinal, or umbilical hernia repair did not differ significantly. The level of the VAS pain scores in the first post-opeative hours in the PACU were comparable with results reported from other studies [1]. The surprisingly low number of admittances due to pain may be attributed to the use of a multimodal analgetic regimen including preoperative dexamethason, which is in line with reports from earlier studies [9].

Conventional standard laparoscopic surgery is performed with an intra-abdominal pressure of 12 mmHg. Earlier studies have suggested that lowering the intra-abdominal pressure from 12-14 mmHg to 7-8 mmHg or even to a gasless technique may have a clinically important impact on post-operative pain after laparoscopic standard surgical procedures [3-6, 10]. The disadvantage of lowering the pressure is that surgical space conditions are then deficient. To counteract compromised surgical dissection and thereby surgical safety, deep relaxation has been suggested [11-17]. To ensure safe surgery during a lower pressure, the compromised surgical space conditions are improved by using a deep neuromuscular blockade. Reversal is important to ensure as fast a preparation time as possible between the usually short-lasting ambulatory surgical procedures [11-17], although evidence for this seems conflicting [18]. Characteristically, none of the above-mentioned randomised trials used optimised multimodal analgesic treatment regimens according to available evidence [19].

The main limitation of the present study is that it is neither randomised nor controlled. However, to suggest another RCT on low pressure versus 12 mmHg (the gold standard) to reduce the pain and discharge rate would require more than 1,000 patients in each study arm to demonstrate an effect on the high discharge rate, as demonstrated in the present study. The PACU pain registrations were limited to assessing VAS pain at rest and during coughing and mobilisation before discharge. Preoperative VAS registrations were not part of the standard registrations, and follow-up did not include registration of re-admittance at other hospitals. Regarding the latter, only a minority of patients would probably seek admittance to an alternative hospital after an ambulatory operation. On the other hand, the study was relatively large, including more than 1,000 patients, which supports the findings of the study. Another strength of the study was its prospective nature with standardised anaesthetic and analgesic regimens.

CONCLUSION

In 1,212 patients undergoing ambulatory laparoscopic surgery with a routine pneumoperitoneum of 12 mmHg and a multimodal analgesic regimen, only 1% were admitted overnight due to pain.

CORRESPONDENCE: Hans Lovén. E-mail: hans.loven@gmail.com

ACCEPTED: 9 April 2019

CONFLICTS OF INTEREST: none. Disclosure forms provided by the authors are available with the full text of this article at Ugeskriftet.dk/dmj

Referencer

LITERATURE

  1. Bisgaard T. Analgesic treatment after laparoscopic cholecystectomy: a critical assessment of the evidence. Anesthesiology 2006;104:835-46.

  2. Pavlin DJ, Chen C, Penaloza DA, et al.: Pain as a factor complicating recovery and discharge after ambulatory surgery. Anesth Analg 2002;95:627-34, Table of contents.

  3. Barczyński M, Herman RM. A prospective randomized trial on comparison of low-pressure (LP) and standard-pressure (SP) pneumoperitoneum for laparoscopic cholecystectomy. Surg Endosc Other Interv Tech 2003;17:533-8.

  4. Wallace DH, Serpell MG, Baxter JN, et al. Randomized trial of different insufflation pressures for laparoscopic cholecystectomy. Br J Surg 1997;84:455-8.

  5. Perrakis E, Vezakis A, Velimezis G, et al. Randomized comparison between different insufflation pressures for laparoscopic cholecystectomy. Surg Laparosc Endosc Percutaneous Tech 2003;13:245-9.

  6. Larsen JF, Ejstrud P, Kristensen JU, et al.: Randomized comparison of conventional and gasless laparoscopic cholecystectomy: operative technique, postoperative course, and recovery. J Gastrointest Surg 2001;5:330-5.

  7. Chung F, Chan VW, Ong D. A post-anesthetic discharge scoring system for home readiness after ambulatory surgery. J Clin Anesth 1995;7:500-6.

  8. Appendix: Standardised questionaire. https://docdro.id/MwPDDnu
    (9 April 2019).

  9. Bisgaard T, Klarskov B, Kehlet H, et al. Preoperative dexamethasone improves surgical outcome after laparoscopic cholecystectomy: a randomized double-blind placebo-controlled trial. Ann Surg. 2003;238:651-60.

  10. Bisgaard T, Klarskov B, Trap R, et al.: Microlaparoscopic vs conventional laparoscopic cholecystectomy: A prospective randomized double-blind trial. Surg Endosc Other Interv Tech 2002;16:458-64.

  11. Abrishami A, Ho J, Wong J, et al. Sugammadex, a selective reversal medication for preventing postoperative residual neuromuscular blockade. Cochrane Database Syst Rev. 2009;4:CD007362.

  12. Madsen M V., Scheppan S, Mørk E, et al. Influence of deep neuromuscular block on the surgeons assessment of surgical conditions during laparotomy: A randomized controlled double blinded trial with rocuronium and sugammadex. Br J Anaesth 2017;119:435-42.

  13. Madsen MV, Staehr-Rye AK, Gätke MR, et al. Neuromuscular blockade for optimising surgical conditions during abdominal and gynaecological surgery: A systematic review. Acta Anaesthesiol Scand 2015;59:1-16.

  14. Martini CH, Boon M, Bevers RF, et al. Evaluation of surgical conditions during laparoscopic surgery in patients with moderate vs deep neuromuscular block. Br J Anaesth 2014;112:498-505.

  15. Staehr-Rye AK, Rasmussen LS, Rosenberg J, et al.: Optimized surgical space during low-pressure laparoscopy with deep neuromuscular blockade. Dan Med J 2013; 60:A4579.

  16. Staehr-Rye AK, Rasmussen LS, Rosenberg J, et al. Surgical space conditions during low-pressure laparoscopic cholecystectomy with deep versus moderate neuromuscular blockade: A randomized clinical study. Anesth Analg 2014; 119:1084-92.

  17. Madsen M V., Staehr-Rye AK, Claudius C, et al. Is deep neuromuscular blockade beneficial in laparoscopic surgery? Yes, probably. Acta Anaesthesiol Scand 2016;60:710-16.

  18. Kopman AF, Naguib M. Laparoscopic surgery and muscle relaxants: is deep block helpful? Anesth Analg 2015;120:51-8.

  19. Sjövall S, Kokki M, Kokki H. Laparoscopic Surgery: a narrative review of pharmacotherapy in pain management. Drugs 2015;75:1867-89.