Fakta
Abstract
Introduction: Symptoms of the shoulder syndrome (SS) and spinal accessory nerve (SAN) impairments are well-known complications to any neck dissections (NDs). Even so, their prevalence is reported with large variations in the literature. Furthermore, marginal mandibular nerve (MMN) injuries are claimed to be underreported. The purpose of this study was to investigate the prevalence of SS, SAN and MMN injuries after different types of ND.
Methods: This systematic review and meta-analysis included studies reporting SAN and MMN injuries following the three main types of ND. Pooled estimates of the prevalence were made by the main types of ND with 95% confidence intervals (95% CI).
Results: Nineteen studies reported a total of 457 SAN injuries. The estimated prevalence of SS or SAN injuries following radical neck dissection, modified radical neck dissection and selective neck dissection was 94.8% (95% CI: 88.5-98.9%), 33.0% (95% CI: 19.4-48.3%) and 27.9% (95% CI: 7.1-54.5%), respectively. Five studies reported a total of 64 MMN injuries. The estimated prevalence following modified radical neck dissection and selective neck dissection was 13.1% (95% CI: 0-37.6%) and 12.7% (95% CI: 4.3-24.1%), respectively.
Conclusions: This meta-analysis estimated a high prevalence of SS, SAN and MMN injuries following the three main types of ND. If oncological considerations allow it, the less morbid ND should be considered. MMN injuries have only been reported in a limited number of small studies. The results may be used to compare future research and as guidance for quality evaluation within departments.
Key points
-
The estimated prevalence of the shoulder syndrome/spinal accessory nerve injury following radical neck dissection was 94.8%, modified radical neck dissection 33.0% and selective neck dissection 27.9%.
-
The literature on marginal mandibular-nerve injury following neck dissection is sparse.
-
In general, patients should be informed about the risk of particular injuries to their spinal accessory nerve due to their specific subtype of neck dissection.
Neck dissection (ND) is a commonly used procedure for removal of metastasis-suspected lymph nodes and status is an important prognostic factor for survival in patients with head and neck cancer [1]. ND is defined by the American Academy for Otolaryngology-Head and Neck Surgery (AAO-HNS), which has classified NDs by an anatomical subdivision of the neck into levels [2]. Nerve impairments are well-known complications to all types of ND [3]. Both the spinal accessory nerve (SAN) and the marginal mandibular branch of the facial nerve (MMN) are known to be exposed during a ND [2, 4-6]. According to the AAO-HNS, three major types of NDs exist [2]. Which ND is chosen depends on oncological considerations, but the stage of disease is crucial. Radical neck dissection (RND) includes an intentional sacrifice of the SAN [7]. RND is rarely used and is only offered to patients with advanced disease. The modified radical neck dissection (MRND) is a procedure associated with considerably less morbidity and has largely replaced the RND in advanced disease. Selective neck dissection (SND) is used in less advanced disease. Both MRND and SND intend to preserve the SAN and MMN; even so, nerve impairments are frequently reported [3, 5, 8-10].
Injury of the SAN can cause theshoulder syndrome (SS) which includes shoulder pain, scapular winging and atrophy of the sternocleidomastoid muscle (SCM) and the trapezius muscle (TM) [11, 12]. This manifests itself as reduced elevation, flexion and abduction of the shoulder joint.Nerve stimulators are now used as standard care to reduce the risk of nerve injuries, in particular MMN injuries. MMN injuries lead to lower lip weakness that causes functional problems such as oral incontinence, speaking difficulties and problems with chewing on the affected side. Additionally, patients experience cosmetic problems such as sagging of the mouth [13]. Both the functional and the cosmetic impact have a negative effect on the quality of life among these patients [4]. Clinical examinations and electromyography are recommended in order to detect nerve dysfunction [14, 15], and both temporary and permanent nerve dysfunction of nerves are seen [16]. The prevalence of SAN injuries following NDs has been reported with various results [3, 5, 8-10], whereas the prevalence of MMN is claimed to be underreported [4, 17]. The aim of this systematic review and meta-analysis was to investigate the prevalence of the SS, SAN and MMN injuries among patients who underwent different types of NDs. The goal was to determine the prevalence of nerve injuries among the major types of ND.
METHODS
The Preferred Reporting Items for Systematic Reviews and Meta-Analyses (PRISMA) [18] were used to prepare this study.
Eligibility criteria
To generate the inclusion criteria and to specify which studies to include, the Patient-Exposure-Outcome-method was used [19]. Only studies reporting symptoms of SS, injuries or impairments of the SAN or MMN as prevalence, incidence or similar following NDs were included. Language was limited to English or Scandinavian with no limitation to publication date. Only observational studies were included. There was no limitation to diagnostic methods or time to follow-up, but self-reported injuries and questionnaires alone were excluded.
Information sources and search strategy
Three electronic health-related databases were used to identify eligible articles: PubMed (MEDLINE), EmBase via OVID (1946 to present) and the Cochrane Library. Both free-text and keywords (Medical Subject Headings and Emtrees) were included. All search strategies are shown in Appendix 1 [A08190464_-_supplementary.pdf]. In addition, reference lists of included studies and relevant systematic reviews were screened for references. Finally, unpublished literature was searched in Clinical-Trails and OpenGrey. The last search was performed on 1 May 2017.
Study selection, data extraction and risk of bias within studies
Reference management software (EndNote) was used to electronically and manually remove duplicates among the extracted articles. Covidence.org (Covidence Systematic Review Software) was used by two independent authors to screen title/abstract and full-text reading to determine eligibility for inclusion. Disagreements regarding the inclusion were solved by discussion within the author group. The following data were extracted from the included studies: Lead author, year of publication, study design, country, number of patients, type of cancer, staging of disease, type of radiotherapy (RT), time to follow-up, type of diagnostics, type of ND and number of injuries to the SAN or the MMN. The quality assessment of the included articles was conducted using the Quality Assessment Tool for Before-After (Pre-Post) Studies with No Control Group [20]. All studies were graded as good, fair or poor. "Good" indicates a small risk of bias and the results are considered reliable. The "fair" rating is assumed to have some risk of bias but not sufficient to alter the results, and the "poor" rating is given when a high risk of bias is present.
Synthesis of results
We graded NDs according to the definition established by the AAO-HNS. RND includes removal of the lymph nodes from level I-V, the SAN, the SCM and the internal jugular vein (IJV). Described symptoms of the SS are included. Three subtypes of MRND exist. Lymph nodes from level I-V are always removed. The MRND type 1 includes preservation of the SAN. Both the SAN and the IJV are preserved in a MRND of type II; and the SAN, the IJV and the SCM are preserved in type III. Studies reporting RND with preservation of the SAN are graded as a MRND of type 1. Functional neck dissections were graded as MRND of type 3. SNDs are the last major ND, which includes four subtypes. Anterior neck dissection (AND), also called SND (VI), which includes removal of the lymph nodes in level VI; supraomohyoid neck dissection (SOMND), also called SND (I-III), which includes level I-III; lateral neck dissection (LND), also called SND (II-IV), which includes II-IV; and posterolateral neck dissection (PLND), also called SND (II-V), which includes II-V [2]. The extended radical neck dissection was not included in this meta-analysis because of the further extent of surgery to the neck. Prevalence of injuries was organised by injuries to SAN or MMN and the subtype of ND. The total number of SAN and MMN injuries with ranges of prevalence was found by simple descriptive statistics. MetaXL version 5.3 was used to conduct the meta-analysis. Pooled estimates with 95% confidence intervals of the estimated prevalence were calculated for RNDs, MRNDs and SNDs. Heterogeneity was assessed by inconsistency test. Because of few inclusion criteria, a high heterogeneity/inconsistency (I2 > 75%) among the included studies was expected and the random effects model was used in the meta-analysis. To asses for publication bias, funnel plots were created.
RESULTS
Study selection
The selection process is shown in Appendix 2 [A08190464_-_supplementary.pdf]. A total of 363 articles were identified by the search strategy. In all, 114 duplications were removed. Another 183 articles were excluded based on title and abstract. Furthermore, 51 articles did not meet the eligibility criteria after full-text screening. Four studies were found in the reference lists or in the grey literature of unpublished articles.
Study characteristics
Twenty studies were included as shown in Table 1. The studies were published from 1981 to 2017. The majority were published from the Western world. All studies were observation studies including: seven cross-sectional studies [4, 7, 9, 21-24] , six retrospective cohort studies [5, 14, 25-28] , six prospective cohort studies [8, 15, 29-32] and one case-control study [33]. Five studies [4, 7, 9, 15, 31] reported the use of RT. The time to follow-up ranged from a few days [8] to years [21]. Four studies [22, 27, 30, 31] did electromyography (EMG) alone, while five studies [14, 15, 26, 32, 33] did EMG in combination with clinical examinations and the rest did clinical examinations. The prevalence of SS after RND was reported in nine studies, followed by 14 after MRND and 11 studies after SND. MMN involvement was reported in one study after RND, four studies after MRND and three studies after SND. Ten studies did not report which level was dissected and three studies failed to report which subtype of SND was used (Table 1).
Injuries to the spinal accessory nerve
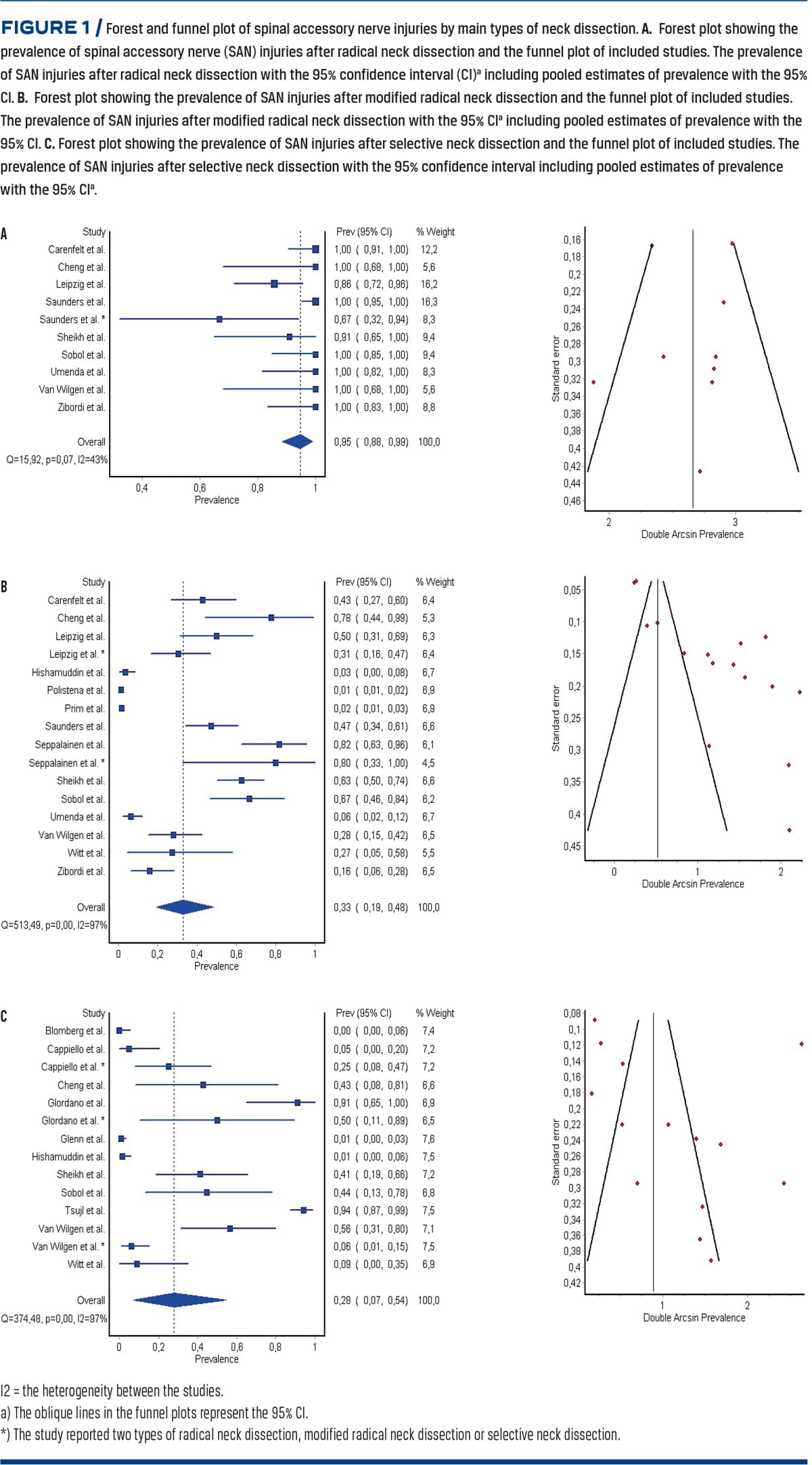
Nineteen studies reported on 457 SAN injuries following 2,537 NDs, as presented in Table 2. The prevalence of SS following RND ranged 66.6-100%. The estimated prevalence was calculated to 94.8% (95% confidence intervals (CI): CI: 88.5-98.9%). SAN injuries following MRND ranged 1.3-81.8%. The estimated prevalence was calculated to 33.0% (95% CI: 19.4-48.2%). SAN injuries following SND ranged 0-94.3% with an estimated prevalence of 27.9% (95% CI: 7.1-54.5%). Forest plots of SAN sequelae/injuries following RND, MRND and SND are illustrated in Figure 1.
Injuries to the mandibular marginal nerve
Seven studies reported on 64 MMN injuries in 1,042 NDs as shown in Table 2. One study reported injuries to MMN after RND with a prevalence of 22.5%. MMN injuries following MRND ranged 1.3-39.4% with an estimated prevalence of 13.1% (95% CI: 0-37.6 %). MMN injuries after SND ranged 5.5-22.5%. The estimated prevalence was calculated to 12.7% (95% CI: 4.3-24.1%). Forest plots of MMN injuries following MRND and SND are shown in Figure 2.
Risk of bias within studies and risk of bias across studies
Ten studies were graded as “good”, seven as “fair” and three as “poor”. The scores of the individual studies from the quality assessment are reported in Appendix 3 [A08190464_-_supplementary.pdf]. A summary of the quality assessment of the included studies is shown in Appendix 4 [A08190464_-_supplementary.pdf]. In general, the funnel plot showed asymmetry (Figure 1 and Figure 2) by visual inspection. Most plots showed outliers of the 95% confidence limit, which indicates true heterogeneity among the included studies.
DISCUSSION
We found high prevalences of SS or SAN injuries following RND and MRND. Our findings indicate that minimal disturbance of the SAN is important to avoid post-operative nerve impairments. Unsurprisingly, NDs were seen to have the highest estimated prevalence of the SS or SAN injuries (94.8%), followed by MRNDs (33.0%) and SNDs (26.7%). MMN injuries were calculated to have a nearly equal prevalence following MRND (13.1%) and SND (12.7%). The extent of SAN injuries following NDs has been discussed over several decades in several studies and reviews [10, 34, 35], whereas MMN injuries have been much less reported in the literature.
Injuries to the spinal accessory nerve
The estimated prevalence of the SS following RND was lower than expected. Discrepancies in prevalence were seen because three studies reported a lower rate than the expected 100% [8, 21, 23]. One possible explanation may be an alternative innervation of the SCM and TM by motor fibres from the third and fourth cervical nerve branches, which are seen in some individuals [36, 37]. This alternative innervation might lower the prevalence of dysfunction even though the SAN has been sacrificed. Our findings are consistent with previous literature that patients who undergo RNDs should expect symptoms of SS [10, 23, 35]. One study reported five out of nine MRND with intentional sacrifice of the SAN; these were included as RNDs in our study [24]. However, future studies should use AAO-HNS classifications to reduce bias. One study reported a lower prevalence of SS when the sacrificed SANs were grafted during the NDs, using the greater auricular nerve [21]. In small samples, grafting of the SAN has previously been reported with success 8-9 months after ND [38]. This correlates with the findings by Saunders et al [21] and other reports after SAN grafting [39, 40]. However, nerve grafting includes the possibility of graft failure and donor site morbidity. Based on the sparse literature on SAN grafting, it remains too early to draw conclusions regarding its efficiency and clinical value.
The prevalence of SAN injuries following MRND was higher than expected, but considerably lower than that of RND [41]. One explanation may be the increased risk of involuntary lesion of SAN due to the comprehensiveness of the MRND. An increased risk of SAN injuries has been reported if the NDs involve removal of lymph nodes at level II and V [2], where the surgeon is in close proximity to the SAN. Three studies reported a notably lower prevalence of SAN injuries following MRND [5, 26, 28] than the other studies. No obvious explanation was found for this discrepancy, and their results should thus be interpreted with caution. A higher prevalence of SAN affection was seen in studies among patients combining MRND with RT. However, the findings do not take into account the time of RT administration [7, 31]. Both surgery and RT can cause both temporary and permanent nerve injuries due to demyelination or devascularisation of the nerve [42]. Further research is needed to elaborate on how the combination of MRND and RT affects SAN injury. This may be done in a prospective cohort study with specific follow-up times for nerve injuries in patients with neoadjuvant and adjuvant RT to the MRNDs with the purpose of establishing any differences in the prevalence of SAN injuries.
The estimated prevalence of SAN injuries following SND was lower than that of MRND. It is questionable whether the subtypes of SND are comparable because different levels are dissected among the subtypes. We calculated SAN injures per ND. All the included studies have operated either level II or V, where SAN is exposed during a ND. The result may therefore be considered as "nerves under risk". A higher prevalence of SAN injuries was found when level V was included [9, 14]. When level V was omitted, the prevalence of SAN injury was correspondingly lower [29]. This demonstrates that the less invasive SNDs are an advantage with regard to SAN injuries because of the reduced dissection levels. The study that reported the highest prevalence of SAN affection following SND included the removal of the cervical plexus from the second to the fourth cervical nerve branch in 32 cases [27]. These branches contribute to the SAN and may possibly contribute to explaining the increased prevalence.
Injuries to the mandibular marginal nerve
Five studies reporting MMN injuries were included in this study. One study reported MMN injuries following RND. Because of the sparse material, no further analysis of pooled estimates or inconsistency tests were conducted. Previous studies reported an increased risk of involuntary lesion when level I-II was included due to the anatomical location of the MMN [4-6]. RND, MRNDs and all SNDs except the AND involve level I and/or II. One study reported few MMN injuries following MRND in a large study population [5]. One explanation might be that the study did not include level I in their FND, which we graded as an MRND of Type 3. This lowered the potential risk of MMN injuries and may possibly produce an underestimation of the true prevalence.
Three studies reported injuries to the MMN following SND with a similar prevalence, which resulted in narrow ranges and estimates. Two of these studies did not report which subtype of SND was used [4, 28], which makes comparison difficult. All three studies reported stage of disease prior to surgery, but a relation between MMN injuries and disease stage could not be identified as subtypes of SND and MMN injuries could not be differentiated in the individual studies. In general, the prevalence of MMN injuries following ND is lower than that of SAN injuries. Different techniques to avoid MMN injuries are described in the literature [6, 13]. The literature is sparse and future research on MMN injuries following ND is needed to clarify their extent. It would be desirable with a larger multicentre registry study focusing on MMN injuries to investigate the true injury ratios.
Nerve injuries should be detected early so that relevant investigation and treatment can be started. Sequelae from nerve injuries should be managed by a physiotherapist team. Relevant training programmes and follow-ups should be offered to ensure the best possible outcome for the patients. In particular, shoulder joint immobility due to the SS should be prevented with relevant exercises.
Limitations
Our study is not without limitations. All included studies were observational studies. Five studies were retrospective studies [5, 14, 25-27], which tend to introduce information and recall bias compared with prospective studies. No randomisations were seen among the included studies [8, 15, 29-32], which increases the risk of confounding. However, it is uncertain whether randomisation was even possible because of oncological considerations. If the main outcome was not included in the title/abstract, it is likely that the study was excluded. This could affect the calculated estimation in our study. Studies of other languages than English or Scandinavian were excluded and the possibility of excluding studies of any other languages could potentially affect the estimations. Most studies reported inclusion and exclusion criteria, which lowered the risk of selection bias within the studies. The included studies have been published over a number of years (1981-2017). This period has seen major changes in the oncological treatment including optimisation measures and changes in the indication for the different NDs. These factors may have a major impact on the number of nerve injuries and should be taken into consideration. The heterogeneity in our meta-analysis, as measured by I2, was high. This is most likely due to differences in diagnostic tests, the use of RT, time to follow up and the subtype of ND. Visual inspection of funnel plots related to SAN injuries suggests publication bias after MRND. It is impossible to conclude on the presence of publication bias in studies describing MMN injuries due to the low study prevalence. We were unable to differentiate the severity and extent of the injuries (temporary or permanent injuries) due to missing information regarding RT, follow-up-times, stage of disease and differences in methodology. This could be clarified in a prospective study with specific follow-up times using both clinical test and EMG evaluation to determine the extent and severity of the injuries, including axonotmesis from neuropraxia which several studies suggest may improve up to 12 months after surgery [27, 40]. The quality assessment showed a lack of information in most of the included studies as the majority did not clearly report information about the study population, the intervention and the outcome. The lack of homogeneity and information among the included studies complicates comparison. This meta-analysis may be used as a basis for comparison or as goal/guidance for the purpose of quality evaluation within the departments and for further attempts to reduce nerve impairment after NDs.
CONCLUSIONS
This study presents a meta-analysis of the prevalence of SAN and MMN injuries following the three main types of ND from a mixed cohort of studies and over a considerable time span. The estimated prevalence of the SS or SAN injuries was found to be high: RND 94.8%, MRND 33.0% and SND 27.9%. If oncological considerations allow, MRND or SND should be considered in order to reduce the prevalence of nerve injuries compared with RND. MMN injuries have only been reported in a small number of small studies and are probably underestimated. The estimated prevalence of MMN injuries was found to be similar between MRND and SND at 13.1% and 12.7%, respectively. The results of this study can be used to compare future research regarding SAN and MMN injuries and it can be used as a goal or guidance for quality evaluation within departments.
CORRESPONDENCE: Michael Houlind Larsen. E-mail: michaelhoulind@hotmail.com
ACCEPTED: 19 May 2020
CONFLICTS OF INTEREST: Disclosure forms provided by the authors are available with the full text of this article at Ugeskriftet.dk/dmj
ACKNOWLEDGEMENTS: The authors express their gratitude to the members of the Research Unit of Plastic Surgery at Odense University Hospital for their help and guidance needed to complete this study.
Referencer
Literature
-
Chen C, Lin J, Chen K. Lymph node ratio as a prognostic factor in head and neck cancer patients. Rad Oncol 2015;10:181.
-
Robbins KT, Clayman G, Levine PA et al. Neck dissection classification update: revisions proposed by the American Head and Neck Society and the American Academy of Otolaryngology - Head and Neck Surgery. Arch Otolaryngol Head Neck Surg 2002;128:751-8.
-
Watkins JP, Williams GB, Mascioli AA et al. Shoulder function in patients undergoing selective neck dissection with or without radiation and chemotherapy. Head Neck 2011;33:615-9.
-
Batstone MD, Scott B, Lowe D et al. Marginal mandibular nerve injury during neck dissection and its impact on patient perception of appearance. Head Neck 2009;31:673-8.
-
Prim MP, De Diego JI, Verdaguer JM et al. Neurological complications following functional neck dissection. Eur Arch Otorhinolaryngol 2006;263:473-6.
-
Nason RW, Binahmed A, Torchia MG et al. Clinical observations of the anatomy and function of the marginal mandibular nerve. Int J Oral Maxillofac Surg 2007;36:712-5.
-
Carenfelt C, Eliasson K. Radical neck dissection and permanent sequelae associated with spinal accessory nerve injuries. Acta Oto-Laryngol 1981;91:155-60.
-
Leipzig B, Suen JY, English JL et al. Functional evaluation of the spinal accessory nerve after neck dissection. Am J Surg 1983;146:526-30.
-
Van Wilgen CP, Dijkstra PU, van der Laan BF et al. Shoulder complaints after neck dissection; is the spinal accessory nerve involved? Br J Oral Maxillofac Surg 2003;41:7-11.
-
Goldstein DP, Ringash J, Bissada E et al. Scoping review of the literature on shoulder impairments and disability after neck dissection. Head Neck 2014;36:299-308.
-
Patten C, Hillel AD. The 11th nerve syndrome. Accessory nerve palsy or adhesive capsulitis? Arch Otolaryngol Head Neck Surg 1993;119:215-20.
-
Nahum AM, Mullally W, Marmor L. A syndrome resulting from radical neck dissection. Arch Otolaryngol 1961;74:424-8.
-
Stern SJ. Precise localization of the marginal mandibular nerve during neck dissection. Head Neck 1992;14:328-31.
-
Cappiello J, Piazza C, Giudice M et al. Shoulder disability after different selective neck dissections (levels II-IV versus levels II-V): a comparative study. Laryngoscope 2005;115:259-63.
-
Cheng PT, Hao SP, Lin YH et al. Objective comparison of shoulder dysfunction after three neck dissection techniques. Ann Otol Rhinol Laryngol 2000;109:761-6.
-
McGarvey A, Hoffman G, Osmotherly P et al. Maximizing shoulder function after accessory nerve injury and neck dissection surgery: a multicenter randomized controlled trial. Head Neck 2015;37:1022-31.
-
Moller MN, Sorensen CH. Risk of marginal mandibular nerve injury in neck dissection. Eur Arch Otorhinolaryngol 2012;269:601-5.
-
Liberati A, Altman D, Tetzlaff J et al. The PRISMA statement for reporting systematic reviews and meta-analyses of studies that evaluate healthcare interventions: explanation and elaboration. BMJ 2009;339:b2700.
-
Khan K, Kunz R, Kleijnen J et al. Systematic reviews to support evidence-based medicine. How to review and apply findings of health care research. London: RSM Press, 2003.
-
National Heart LaBI. Quality assessment tool for before-after (pre-post) studies with no control group. 2014. www.nhlbi.nih.gov/health-pro/guidelines/in-develop/cardiovascular-risk-reduction/tools/before-after (8 Jun 2020).
-
Saunders JR, Jr., Hirata RM, Jaques DA. Considering the spinal accessory nerve in head and neck surgery. Am J Surg 1985;150:491-4.
-
Seppalainen AM, Soderholm AL, Lindqvist C. Neuromuscular dysfunction after surgical treatment of oral cancer. Electromyogr Clin Neurophysiol 1995;35:45-51.
-
Sheikh A, Shallwani H, Ghaffar S. Postoperative shoulder function after different types of neck dissection in head and neck cancer. Ear Nose Throat J 2014;93:E21-E26.
-
Umeda M, Shigeta T, Takahashi H et al. Shoulder mobility after spinal accessory nerve-sparing modified radical neck dissection in oral cancer patients. Oral Surg Oral Med Oral Pathol Oral Radiol Endod 2010;109:820-4.
-
Glenn JA, Yen TW, Fareau GG et al. Institutional experience with lateral neck dissections for thyroid cancer. Surg 2015;158:972-80.
-
Polistena A, Monacelli M, Lucchini R et al. Surgical morbidity of cervical lymphadenectomy for thyroid cancer: a retrospective cohort study over 25 years. Int J Surg 2015;21:128-34.
-
Tsuji T, Tanuma A, Onitsuka T et al. Electromyographic findings after different selective neck dissections. Laryngoscope 2007;117:319-22.
-
Hishamuddin NHAN, Azman M, Kong MH et al. Neck dissection for head and neck malignancies: a Malaysian 13 years review. Bang J Med Sci 2017;16:384-96.
-
Blomberg MH, Bilde A, von Buchwald C. Treatment of patients with oral squamous cell carcinomas (T1-T2N0M0). Initial experiences with national guidelines. Ugeskr Læger 2007;167:2207-10.
-
Giordano L, Sarandria D, Fabiano B et al. Shoulder function after selective and superselective neck dissections: clinical and functional outcomes. Acta Otorhinolaryngol Ital 2012;32:376-9.
-
Sobol S, Jensen C, Sawyer W, 2nd et al. Objective comparison of physical dysfunction after neck dissection. Am J Surg 1985;150:503-9.
-
Witt RL, Rejto L. Spinal accessory nerve monitoring in selective and modified neck dissection. Laryngoscope 2007;117:776-80.
-
Zibordi F, Baiocco F, Bascelli C et al. Spinal accessory nerve function following neck dissection. Ann Otol Rhinol Laryngol 1988;97:83-6.
-
Cappiello J, Piazza C, Nicolai P. The spinal accessory nerve in head and neck surgery. Curr Opin Otolaryngol Head Neck Surg 2007;15:107-11.
-
Gane EM, Michaleff ZA, Cottrell MA et al. Prevalence, incidence, and risk factors for shoulder and neck dysfunction after neck dissection: a systematic review. Eur J Surg Oncol 2017;43:1199-218.
-
Jones TA, Stell PM. The preservation of shoulder function after radical neck dissection. Clin Otolaryngol Allied Sci 1985;10:89-92.
-
Krause HR, Bremerich A, Herrmann M. The innervation of the trapezius muscle in connection with radical neck-dissection. An anatomical study. J Craniomaxillofac Surg 1991;19:87-9.
-
Bertelli JA, Ghizoni MF. Refinements in the technique for repair of the accessory nerve. J Hand Surg 2006;31:1401-6.
-
Park SH, Esquenazi Y, Kline DG et al. Surgical outcomes of 156 spinal accessory nerve injuries caused by lymph node biopsy procedures. J Neurosurg Spine 2015;23:518-25.
-
Göransson H, Leppanen OV, Vastamaki M. Patient outcome after surgical management of the spinal accessory nerve injury: a long-term follow-up study. SAGE Open Med 2016;4:2050312116645731.
-
Ferlito A, Rinaldo A, Silver CE et al. Neck dissection: then and now. Auris Nasus Larynx 2006;33:365-74.
-
Delanian S, Lefaix JL, Pradat PF. Radiation-induced neuropathy in cancer survivors. Radiother Oncol 2012;105:273-82.