Pancreatic cancer (WHO International Classification of Diseases, tenth version (ICD10) C25) is one of the most lethal malignancies with an overall five-year survival of about 5% [1]. The disease is progressive and rapidly fatal, and the number of pancreas cancer deaths almost parallels the number of incident cases [2, 3]. Pancreatic cancer is typically diagnosed in older age, and the mean age at diagnosis is about 70 years [4].
Fakta
Fakta
ABSTRACT
Introduction: Pancreatic cancer is among the most lethal malignancies with a five-year survival of about 5%, and the only curative treatment is surgical resection. Denmark consists of five governmental regions and has four surgical centres. Our aim was to explore the regional and socio-economic differences in overall survival following a pancreatic cancer diagnosis in Denmark.
Methods: We included a total of 5,244 pancreatic cancer patients (WHO International Classification of Diseases, tenth version C25) registered in the Danish Pancreatic Cancer Database during 2012-2017. The data sources used were the Danish Civil Registration System, the Danish National Patient Registry and the Danish national registers on education and income at Statistics Denmark. Cox regression analysis was used to examine all-cause mortality of pancreatic cancer patients by region of residence and socio-economic status.
Results: Compared to The Capital Region, there was an excess mortality in the Central Denmark Region and the North Denmark Region in both men and women, whereas no increased mortality was observed in the Region of Southern Denmark or in Region Zealand. Estimates were adjusted for age, year of diagnosis and comorbidity. Adjustment for surgical resection greatly attenuated the variation in survival between the regions.
Conclusions: We found significant differences in overall survival across the five Danish regions following a diagnosis of pancreatic cancer. The regional variation in survival was largely attributable to differences in the propensity to use surgical resection.
Funding: none.
Trial registration: not relevant.
According to the national cancer registration in Denmark, the annual incidence of pancreatic cancer is close to 1,000 new cases per year, with similar numbers in men and women [3]. In 2012-2016, the total number of newly diagnosed pancreatic cancer patients in Denmark was 4,785 with an average of 492 annual cases for men and an annual 465 cases for women [3].
Surgical resection is the only curative treatment for pancreatic cancer, but due to non-specific symptoms and rapid disease progression, it is often only 15-20% of tumours that are resectable at the time of diagnosis [4].
In Denmark, the treatment of pancreatic cancer patients is centralised to four surgical centres and seven oncological departments according to the Danish guidelines for highly specialised clinical treatment (specialeplan) published by the Danish Health Authority (Sundhedsstyrelsen). Surgical treatment is carried out at four university hospitals located in four of the five Danish administrative regions: Rigshospitalet (The Capital Region), Odense University Hospital (The Region of Southern Denmark), Aarhus University Hospital (The Central Denmark Region) and Aalborg University Hospital (The North Denmark Region). Approximately 80% of the patients who lived in Region Zealand and who were eligible for surgery were referred to surgical treatment in Rigshospitalet. The remaining 20% were treated at Odense University Hospital. Medical oncological treatment, i.e. the administration of chemotherapy, is currently carried out in all surgical centres except Rigshospitalet (The Capital Region) and in the oncological departments at Herlev (The Capital Region), Hillerød (The Capital Region), Roskilde (Region Zealand) and Herning Hospital (The Central Denmark Region).
The five administrative regions are responsible for the provision of healthcare and hospital services for their population, and the comparison of survival across regions may, in turn, inform quality improvements. Moreover, it is of interest to examine the contribution of socio-economic variables to the survival after a pancreatic cancer diagnosis due to the free and fully tax-financed healthcare system in Denmark [5-9].
This paper aimed to examine regional variation in overall survival following a pancreatic cancer diagnosis in Denmark and to identify any differences in survival according to socio-economic status.
Methods
This study includes all cases of pancreatic cancer (ICD10 C25, except neuroendocrine tumours C25.4) diagnosed in the period from 2012 to 2017 who were registered in the Danish Pancreatic Cancer Database (DPCD) [10]. A total of 5,244 patients (2,719 men (52%) and 2,525 women (48%)) were included in the analyses. The date of diagnosis was the earliest of the following: 1) the date of the pancreatic cancer diagnosis as registered in the NPR, 2) the date of resection or 3) the date of first chemotherapy.
The data sources used were the DPCD [10], the Danish Civil Registration System (CRS) [11] and the Danish National Patient Registry [12]. Information about education and household income was retrieved from Statistics Denmark [13, 14]. The study was listed and registered according to the General Data Protection Regulation (GDPR) in the Central Denmark Region (R.no.: 1-16-02-823-17).
Data on region of residence, marital status and date of death were retrieved from the CRS [11]. The Capital Region was used as the reference region in the analyses because this region contributed with the highest number of patients. Marital status was defined as 1) married or in registered partnership, 2) other cohabiting persons and 3) single or widowed.
Household income in the year before cancer diagnosis was analysed by quartiles of the income distribution for pancreatic cancer patients, separately for men and women.
The highest attained formal education for each patient was categorised as 1) basic school education (compulsory school education only); 2) professional education (including for example apprenticeships and including high-school only); 3) shorter further education; and 4) longer further education.
Comorbidity up to three months prior to the date of diagnosis was calculated as the Charlson Comorbidity Index (CCI) [15] based on hospital discharge diagnoses in the NPR [12] during the ten years prior to the date of the pancreatic cancer diagnosis.
Surgical resection and chemotherapy were dichotomous variables indicating whether a patient was registered with a resection or had at least one cancer-directed treatment using chemotherapy.
A cohort analysis was conducted with the occurrence of death as outcome. Time at risk was calculated from the date of diagnosis until death, emigration or end-of-follow-up on 8 October 2018,whichever occurred first. A multivariable Cox regression model was used, and results were reported as adjusted hazard ratios (HRs) with corresponding 95% confidence limits (CI). Analyses were stratified by sex, and the basic model (Model 1) included age (quadratic function), year of diagnosis (categorical) and comorbidity (categorical) as covariates. Each of the remaining covariates was then added to the basic model separately in order to identify confounding or mediating effects.
Trial registration:not relevant.
Results
Table 1 shows the distribution of variables in the study population of 5,244 male and female pancreatic cancer patients. The supplementary material provides a more detailed tabulation of variables across regions. Female patients were slightly older than males, and more than 50% of patients had no comorbidity (CCI = 0) with rather similar distributions in men and women. Men had a higher household income than women. There was a substantial proportion of missing values on tumour stage.
The overall resection rate was 20%, but there were substantial regional differences in resection rates. In men, the resection rate was lowest in the Central Denmark Region (15%) followed by the North Denmark Region (18%) and the Region of Southern Denmark (18%), and rates were highest in the Capital Region (25%) and the Zealand Region (23%). In women, the lowest resection rate was observed in the North Denmark Region (14%) followed by the Central Denmark Region (15%) and the Region of Southern Denmark (19%). The highest resection rate was seen in the Region Zealand (24%) and the Capital Region (23%). A more detailed tabulation is available as supplementary material from the authors.
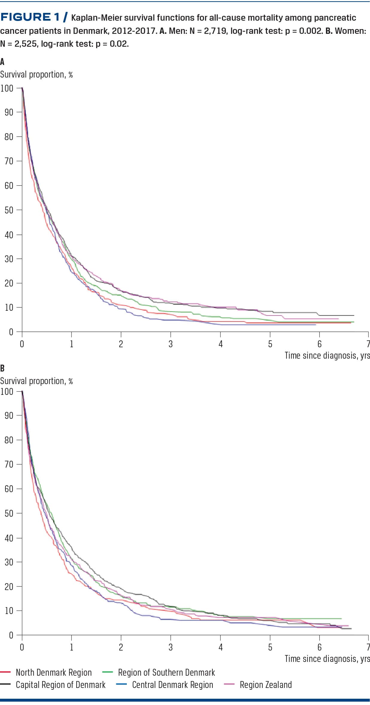
Figure 1 shows the unadjusted Kaplan-Meier survival functions for men and women. In both men and women, the Kaplan-Meier curves show a lower survival in the North Denmark Region and the Central Denmark Region compared with the other Danish regions (log-rank test, p = 0.002 (men); p = 0.02 (women)).
Table 1 shows the results of regression analyses for each covariate separately where the basic model included adjustment for age, year of diagnosis and comorbidity. A trend of lower mortality with higher household income was evident, especially in men. Regional differences in mortality rates were observed in both men and women. Compared with the Capital Region, mortality rates were markedly higher in the North Denmark Region (HR = 1.21 (95% CI: 1.06-1.39) (men) and HR = 1.25 (95% CI: 1.09-1.45) (women)) and the Central Denmark Region (HR = 1.26 (95% CI: 1.12-1.40) (men) and HR = 1.20 (95% CI: 1.06-1.35) (women)) followed by the Region of Southern Denmark and the Zealand Region.
Table 2 shows the regional differences in mortality after separate adjustment for each of the included covariates. For both sexes, the results from Table 1 (Model 1) remained almost unchanged when adjusted for marital status, education, income or stage. However, when adjusted for resection, the excess mortality in the Central Denmark Region and the North Denmark Region were much attenuated and became insignificant. For women, the estimates were also sensitive to adjustment for chemotherapy.
Table 3 shows the adjusted HR estimates of mortality by household income. In men, income was inversely associated with mortality, and these results were robust to adjustment for region of residence, SES and cancer-related variables. In women, the trend of lower mortality with higher income was less strong.
Discussion
We found regional differences in the survival of pancreatic cancer patients in Denmark in 2012-2017. Mortality rates were higher in the Central Denmark Region and the North Denmark Region than in the Capital Region. Our results were very sensitive to adjustment for surgical resection. Household income in the year before diagnosis was predictive of survival in men, but this association was less clear in women.
The cornerstone of curative treatment in pancreatic cancer is surgical resection. The resection rate (the annual proportion of resected patients in each region) and the resection volume (the annual number of surgical procedures per surgical centre) are therefore key indicators of pancreatic cancer care. Our results show substantial differences in regional resection rates and resection volumes of surgical centres, but also that the resection rate increased over time from 2012 to 2017, especially in the North Denmark Region and the Central Denmark Region. These data were shown in the DPCD Yearly Report 2017/2018 [16], and are available as supplementary material.
A paper by Wennervaldt et al [17] indicated that low-volume centres had poorer outcomes than high-volume centres. These analyses were based only on a subset of resections relevant to pancreatic cancer patients (pancreaticoduodenectomy), and the absolute number of included resections per centre was probably underestimated.
In August 2018, The Danish Health Authority created a national multidisciplinary clinical conference (MDT) to improve the quality of treatment of pancreatic cancer patients in Denmark [18]. The national MDT conference aims to increase resection rates across the five Danish regions by focusing on the group of patients without distant metastases (stage M0 disease) who were not initially offered surgical resection in their regional surgical centre. It remains to be evaluated whether this initiative will increase the resection rates where these were low in the 2012-2017 period.
MDT meetings have been widely adopted in cancer care to ensure that appropriate treatment is provided to patients. However, a recent Danish study by Kirkegård et al revealed considerable variation as regards the conclusions on pancreatic cancer resectability and treatment allocation when comparing decisions made at multidisciplinary meetings across seven European surgical centres [19]. This emphasises the complexity of pancreatic cancer diagnostics and treatment decisions.
We used household income as an indicator of socio-economic status (SES). However, a trend of lower mortality with higher income was observed only in men. Previous studies have also found SES and rural versus urban residency to be predictive of survival in pancreatic cancer [5-7]. Together, these studies indicate that socio-economic differences in survival exist in pancreatic cancer.
The analyses of this paper were based on the total population of pancreatic cancer patients to prevent any selection arising from selective referral between regions, which invalidates any comparison between hospitals.
There was a substantial proportion of missing values on tumour stage and large regional variation in the availability of stage data. Records with missing values were included as a separate category in the statistical models, a procedure that does not entirely safeguard against bias. Furthermore, from a clinical perspective, the lack of completeness in the recording of tumour stage is critical as it is used to guide cancer-directed treatment and serves as an important prognostic marker. More complete registration of tumour stage is required for future outcome analyses and clinical quality work.
Sensitivity analyses were carried out by including 244 patients with cancer papilla Vateri diagnosed during 2012-2017 and registered in the DPCD database [16]. These analyses did not alter the primary finding of a significant excess mortality after a pancreatic cancer diagnosis in the North Denmark Region and the Central Denmark Region compared with the Capital Region. This emphasises the need for improved reporting of the information on the anatomic site and the cell type of cancers. Data are available as supplementary material.
In conclusion, we found significant differences in overall survival across the five Danish regions after a diagnosis of pancreatic cancer, with an excess mortality being observed in the Central Denmark Region and the North Denmark Region in 2012-2017. These differences were largely attributable to regional differences in the propensity to use surgical resection. Also, even in a tax-financed healthcare system, we found household income to be predictive of survival, most strongly so in men.
Correspondence: Henriette Engberg. E-mail: heengb@rkkp.dk
Accepted:2 December 2019
Conflicts of interest: none. Disclosure forms provided by the authors are available with the full text of this article at Ugeskriftet.dk/dmj
Acknowledgements: We are grateful for contributions to the Benchmark III project from the advisory group: Steinbjørn Hansen, Danish Neuro-Oncology Group, Lisbet Rosenkrantz Hölmich, Danish Melanoma Group, Michael Borre, Danish Multidisciplinary Cancer Groups (DMCG), Lone Susanne Jensen, Danish Esophageal, Cardia and Stomach Cancer Group and Linda Aagaard Thomsen, Danish Cancer Society
Referencer
LITERATURE
Lepage C, Capocaccia R, Hackl M et al. Survival in patients with primary liver cancer, gallbladder and extrahepatic biliary tract cancer and pancreatic cancer in Europe 1999-2007: results of EUROCARE-5. Eur J Cancer 2015;51:2169-78.
International Agency for Research on Cancer. GLOBOCAN. World Health Organization (WHO); https://gco.iarc.fr/today/home (15 Jan 2019).
The Association of the Nordic Cancer Registries (ANCR). The NORDCAN project - Cancer statistics for the Nordic countries. www-dep.iarc.fr/NORDCAN/DK/frame.asp (25 Apr 2019).
Huang L, Jansen L, Balavarca Y et al. Resection of pancreatic cancer in Europe and USA: an international large-scale study highlighting large variations. Gut 2019;68:130-9.
van Roest MH, van der Aa MA, van der Geest LG et al. The impact of socioeconomic status, surgical resection and type of hospital on survival in patients with pancreatic cancer. A population-based study in the Netherlands. PLoS One 2016;11:e0166449.
Thobie A, Mulliri A, Dolet N et al. Socioeconomic status impacts survival and access to resection in pancreatic adenocarcinoma: A high-resolution population-based cancer registry study. Surg Oncol 2018;27:759-66.
Kirkegård J, Ladekarl M, Fristrup CW et al. Urban versus rural residency and pancreatic cancer survival: a Danish nationwide population-based cohort study. PLoS One 2018;13:e0202486.
The Danish Cancer Society. Social ulighed i kræft i Danmark - Hvidbog. København: Danish Cancer Society, 2019.
Steding-Jessen M, Engberg H, Oster I et al. Regional and socioeconomic variation in survival of melanoma patients in Denmark. Dan Med J 2019;66(11):A5572.
Fristrup C, Detlefsen S, Hansen CP et al. Danish Pancreatic Cancer Database. Clin Epidemiol 2016;8:645-8.
Schmidt M, Pedersen L, Sorensen HT. The Danish Civil Registration System as a tool in epidemiology. Eur J Epidemiol 2014;29:541-9.
Schmidt M, Schmidt SA, Sandegaard JL et al. The Danish National Patient Registry: a review of content, data quality, and research potential. Clin Epidemiol 2015;7:449-90.
Baadsgaard M, Quitzau J. Danish registers on personal income and transfer payments. Scand J Public Health 2011;39:103-5.
Jensen VM, Rasmussen AW. Danish Education Registers. Scand J Public Health 2011;39:91-4.
Charlson ME, Pompei P, Ales KL et al. A new method of classifying prognostic comorbidity in longitudinal studies: development and validation. J Chronic Dis 1987;40:373-83.
The Danish Pancreatic Cancer Group. Dansk Pancreas Cancer Database (DPCD) - Yearly Report 2017/2018. Denmark: DPCD, 2019.
Wennervaldt K, Kejs AM, Lipczak H et al. Regional variation in surgery for pancreatic cancer in Denmark 2011-2015. Dan Med J 2018;65(9):A5503.
Steenberger A. Nationale videomøder ensarter avanceret kræftbehandling. Ugeskrift Læger 2019;181:24-5.
Kirkegård J, Aahlin EK, Al-Saiddi M et al. Multicentre study of multidisciplinary team assessment of pancreatic cancer resectability and treatment allocation. Br J Surg 2019:10.1002/bjs.11093.