Fakta
Fakta
ABSTRACT
INTRODUCTION: Reliable dietary information is crucial for measuring the habitual diet of healthy participants and patients with dyslipidaemia and/or coronary heart disease (CHD). Even so, methods are often complicated and time-consuming for everyone involved. We aimed to validate the new food frequency questionnaire (FFQ) named HeartDiet by comparing it to a validated 198-item FFQ and biomarkers.
METHODS: Healthy local participants (n = 100) and participants with CHD from Aalborg University Hospital (n = 100) randomly completed HeartDiet and the 198-item FFQ. Biomarkers were analysed in a random sample of 50 healthy participants. Scatter plots and Spearman’s rank correlation coefficient were used for statistics.
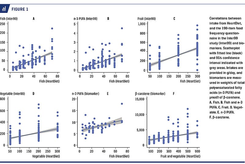
RESULTS: We found a highly significant statistical correlation between the intake of fruit (ρ = 0.70, 95% confidence interval (CI): 0.62-0.76), vegetables (ρ = 0.54; 95% CI: 0.44-0.64), fish (ρ = 0.75; 95% CI: 0.68-0.81) and saturated fatty acids (ρ = –0.51; 95% CI:–0.61-–0.40) measured by the HeartDiet and the 198-item FFQ. Also, correlations between the HeartDiet and serum β-carotene and serum n-3 polyunsaturated fatty acids were statistically significant (fruit and vegetables: ρ = 0.59; 95% CI: 0.37-0.74, and fish:
ρ = 0.45; 95% CI: 0.19-0.65).
CONCLUSIONS: HeartDiet is well aligned with results from a semi-quantitative FFQ and biomarkers, and it is a practical, easy and quick-to-use tool to describe and monitor if a diet is heart-healthy or not.
FUNDING: The study was supported by the Danish Heart Association.
TRIAL REGISTRATION: not relevant.
Coronary heart disease (CHD) is one of the leading causes of death worldwide [1]. Many factors contribute to the risk of CHD, and several of these factors are modifiable by lifestyle, especially smoking, physical activity and diets such as intake of fat (quality and quantity), fruit, vegetables, fish and whole-grain products. Lifestyle and lifestyle changes are therefore considered
essential for prevention and treatment of CHD [2]. Reliable dietary information is crucial for dietary counselling, and dietary registration and food frequency questionnaires (FFQ) are used in clinical practice to evaluate diets. Even so, these methods are often complicated and time-consuming for both patients and care-takers [3]. To measure the habitual diet of healthy participants and patients with dyslipidaemia and/or CHD, a new short and simple self-administered FFQ, named “HeartDiet” (in Danish language: “HjerteKost”), was developed.
The questionnaire was developed based on national dietary recommendations focusing on intake of fruit and vegetables, fish, whole-grain and saturated fatty acids (SFA) [4]. A pilot study with 26 participants was conducted to test if the FFQ was comprehensible and quick to fill in, and after minor adjustments, the present version of HeartDiet [5] was applied in the validation study.
The aim of the study was to validate HeartDiet by comparing it with the validated semi-quantitative 198-item FFQ in the Inter99 study [3], and also with serum β-carotene and serum n-3 polyunsaturated fatty acids (n-3 PUFA) as biomarkers for dietary intake.
METHODS
Study design and study population
The study was a validation study comparing results from HeartDiet with results from the 198-item FFQ used in the Inter99 study, an already validated and considerably longer FFQ [3]. In addition, HeartDiet was compared with serum β-carotene and n-3 PUFA as biomarkers for dietary intake of fruit and vegetables (β-carotene) and fish (n-3 PUFA).
The inclusion criteria were men or women aged 30 years or more who were able to speak, read and write Danish. Healthy participants (n = 100) were recruited by advertising in the local area, while participants with CHD (n = 100) were primarily recruited from Aalborg University Hospital and also from the local counselling centre of the Danish Heart Association. The exclusion criteria were severe non-cardiac illnesses, unstable CHD, unstable diets, intention to change diet or other factors that might influence the study results.
Validation of HeartDiet
The 200 participants completed HeartDiet and the 198-item FFQ in random order after prior instruction by a clinical dietician. They were told to complete the two FFQs based on their diet in the previous four weeks. Additionally, participants were asked about dietary supplements (including fish oil). To ensure a high data quality, data from HeartDiet were entered twice and verified, using EpiData [6]. The data from the 198-item FFQ were scanned and converted into daily intakes of macro-nutrients and micro-nutrients using standard portion sizes and FoodCalc version 1.3 [7].
The food frequency questionnaire, HeartDiet
Through 19 short questions, HeartDiet evaluates the
intake of different food groups: dairy products, bread, cereals, potato/rice/pasta, fats, meat, fish, vegetables/legumes, fruits, nuts, sweets and different kinds of snacks and fast food. Questions with a focus on the type of food most often consumed (quality) refer to well-known brands or groups of foods, whereas questions which address how often a certain group of foods is consumed (quantity) are phrased in terms of everyday portion sizes. It is possible to tick-off one of three to five possible answers to each question corresponding to 0 to 18 points. Points for the various questions have been assigned by a research group (clinical dieticians, biostatisticians and cardiologists) at the Lipid Clinic, Aalborg University Hospital.
After completion of HeartDiet, the points are summarised into two scores by the staff: a fat score (sum of questions 1-9) and a fish-fruit-vegetable score (sum of questions 10-19). The fat score and the fish-fruit-vegetable score range from 0 to 100 points. A heart healthy diet is defined as one which fulfils criteria about fruit, vegetables, fish, fibres, sugar and fat based on the eight official pieces of advice provided as part of the national Danish dietary recommendations [4, 5]. A score of 75% or more was considered to reflect a heart-healthy diet with respect to: intake of SFA and a combination of fruit, vegetable, fish and wholegrain intake. The score limit relied on a clinical evaluation and was not based on data. If both scores were at least 75%, the overall diet was considered heart healthy. The last page in the questionnaire includes supplementary questions about smoking habits, alcohol consumption and physical
activity.
Laboratory measurements
Biomarkers were analysed for a random sample of 50 healthy participants, who had been fasting for at least ten hours for assessment of serum phospholipids and β-carotene. Fatty acid composition of serum phospholipids was analysed by gas chromatography (Chrompack CP-9002), and a CP-sil 88 capillary column, fatty acid methyl esters with 14 to 24 carbon atoms, and separation of several trans fatty acids was quantified as previously reported in detail [8]. The relative content of marine n-3 PUFA of total fatty acids was calculated as the sum of eisosapentaenoic acid, docosapentaenoic acid and docosahexaenoic acid and used as an objective measure and biomarker of fish consumption. Serum levels of β-carotene, reflecting intake of fruit and vegetables, were determined at a commercial laboratory (Unilabs A/S, Copenhagen, Denmark), using a standard high-performance liquid chromatograph method [9].
Statistics
The statistical analyses comprised two parts:
I Data from HeartDiet on fish, fruit and vegetables were compared with corresponding results from the 198-item FFQ. Additionally, intakes of fish and fruit/vegetable were compared with their respective biomarker. All analyses were conducted using scatter plots and the Spearman’s rank correlation coefficient with 95% confidence interval (CI) calculation using Fisher’s z-transformation.
II HeartDiet’s classification of a heart healthy diet (≥ 75 points in the fat-score and fish-fruit-vegetable score) was compared with the national dietary recommendations and with the 198-item FFQ by calculating the overall agreement [4, 9]. Also, the fat score from HeartDiet was compared with the calculated intake of SFA (g/day) and energy percentage from SFA (E%) from the 198-item FFQ using Spearman’s rank correlation coefficient. Furthermore, HeartDiet’s classification of persons with healthy dietary patterns was evaluated by examining if these persons had statistically significantly higher intakes of several important macro-nutrients and micro-nutrients, higher levels of biomarkers and a lower intake of SFA, using Student‘s t-test for
independent samples.
Trial registration: not relevant.
RESULTS
All 200 participants completed the study. However, one participant was excluded from the analyses because of extremely high and unlikely intakes of sugar and fats. Basic characteristics of the participants are presented in Table 1.
Table 2 and Figure 1 show the validation of the
intake of fish, fruit and vegetables according to the HeartDiet compared with the 198-item FFQ. There was a good and highly statistically significant correlation between results from HeartDiet, the 198-item FFQ and the measures of different biomarkers. Analyses of subgroups (men/women, healthy/CHD patients, young/old) did not change this.
To evaluate HeartDiet’s classification of a heart-healthy (≥ 75 points in both scores) or not heart-healthy diet, HeartDiet was compared with a similar
dichotomous classification obtained from the 198-item FFQ and the national dietary recommendations (Table 3).
The overall agreement between HeartDiet and the 198-item FFQ was 80% calculated as (140 + 19)/199. Few participants were classified as having a heart-healthy diet by HeartDiet and a not heart-healthy diet by the 198-item FFQ.
There was a statistically significantly linear trend between the fat score from HeartDiet and the intake of SFA (g/day) from the 198-item FFQ (–0.51; 95% CI: –0.61-–0.40) and between the fat score and the energy percentage from SFA (without alcohol) (–0.61; 95% CI: –0.69-–0.51). Furthermore, participants classified by HeartDiet as having a heart-healthy diet had statistically significantly higher intakes of several important macro-nutrients and micro-nutrients and a lower intake of SFA than participants with an unhealthy diet, which supports that 75% is a sensible choice for a threshold value.
DISCUSSION
In the present study, we found that the intake of fruit, vegetables, fish, wholegrain and SFA in HeartDiet overall was in good agreement with the 198-item FFQ used in the Inter99 study. Also, the comparison between serum β-carotene and serum n-3 PUFA showed a good correlation between HeartDiet and the dietary intake of fruit and vegetables, and fish, respectively.
The strengths of the present study were that HeartDiet was evaluated and validated in several ways including against the 198-item FFQ and a more practical evaluation in the form of the national Danish dietary recommendations. Furthermore, biomarkers were measured, and both healthy participants and patients with CHD were included. There were, however, also some limitations. HeartDiet was not evaluated against a gold standard, as such a scheme does not exist, but against a previously validated FFQ. Additionally, the choice of point system was not evidence-based but chosen by us. The use of a point system was subsequently evaluated by tests and this evaluation showed that the choice seemed to work well (Table 3). HeartDiet was developed with two scores. The argument for making
a separate fat score was that intake of SFA was considered a well-established and important risk factor for CHD when we developed HeartDiet [2, 10]. Recent studies have, however, raised doubt about the association [11-13]. Among these, a large observational study showed that intake of total and saturated fat was associated with a lower risk of total mortality, but not of major cardiovascular disease, myocardial infarction and cardiovascular disease mortality [13]. However, the guidelines still recommend that saturated fat should account for a maximum of 10% of the total
energy intake, and therefore the focus on saturated fat remains central to the HeartDiet [2, 14].
HeartDiet was evaluated and validated in several manners. Firstly, dietary intake of fish, fruit and vegetables correlated with results obtained by the validated semi-quantitative 198-item FFQ used in the Inter99 with correlation coefficients of 0.74 or above (fish and n-3 PUFA) and 0.54 or above (fruit and vegetables) (Table 2 and Figure 1). The main reason for the lower fruit and vegetables coefficients is likely the maximum daily intake of fruit (300 g) and vegetables (300 g) in HeartDiet, whereas the 198-item FFQ has a much higher maximum intake. However, dietary correlation coefficients at the presented level are, in general, considered reliable [3, 15]. Secondly, the comparison of the fish intake correlated significantly (albeit modestly) with the content of n-3 PUFA in serum phospholipids, and the fruit and vegetable intake correlated significantly with their biomarker serum β-carotene with a correlation coefficient of 0.59 (Table 2). These correlations are comparable and even stronger than results reported in earlier studies [3, 16]. Thirdly, there was a significant correlation between the fat score obtained in HeartDiet and the SFA intake (g/day and E%) in the 198-item FFQ. Fourthly, separating participants with a score of 75% from those with a lower score showed a lower SFA intake and a significantly higher intake of fibre, n-3 PUFA, vitamins and other macro-nutrients and micro-nutrients in those with the higher score. This is in accordance with the results from the validation of the dietary quality score used in the Inter99 study [10] which further emphasises that our limit for a heart healthy diet is sensible. Fifthly, obtaining a heart healthy diet showed a good overall agreement between HeartDiet, and the 198-item FFQ and the national Danish dietary recommendations in 80% of participants meaning that the risk of overlooking severe problems was rather low. Finally, HeartDiet classified 140 participants as not having a heart healthy diet compared with 153 classified by the 198-item FFQ. This is
a fair agreement, while HeartDiet only classified 19 participants as having a heart-healthy diet compared with 46 classified by the 198-item FFQ. Nevertheless, HeartDiet may underestimate the fruit and vegetable-intake compared with the 198-item FFQ, as mentioned earlier. Furthermore, the participants were asked to include vegetables used in stew in the 198-item FFQ, which participants may have forgotten in HeartDiet. However, this is now underlined in the updated version of HeartDiet.
CONCLUSIONS
HeartDiet is well aligned with the 198-item FFQ used in the Inter99 study, and our choice of 75% as a limit between a heart-healthy and a not heart-healthy diet is sensible and useful in clinical practice. In addition, HeartDiet is a practical and easy and quick-to-use tool, and HeartDiet will hopefully prove helpful in the clinic and place a focus on diet and improvement of diets with the purpose of prevention of vascular disease.
We also suggest that HeartDiet be investigated for follow-up of patients receiving dietary counselling.
CORRESPONDENCE: Ulla Bach Laursen. E-mail: u.bach@rn.dk
ACCEPTED: 12 September 2018
CONFLICTS OF INTEREST: none. Disclosure forms provided by the authors are available with the full text of this article at Ugeskriftet.dk/dmj
ACKNOWLEDGEMENTS: This study was supported by the Danish Heart Association. We are grateful to The Lipid Clinic in Oslo, Norway, for sharing their FFQ with us. We also want to thank the dieticians Anja Grøn Witting and Lonneke Hjermitslev for their commitment to the recruitment and inclusion of participants.
Referencer
LITERATURe
World Health Organization. Cardiovascular diseases (CVDs) - fact sheet. 2017. www.who.int/mediacentre/factsheets/fs317/en/ (5 Oct 2019).
Piepoli MF, Hoes AW, Agewall S et al. 2016 European Guidelines on cardiovascular disease prevention in clinical practice The Sixth Joint Task Force of the European Society of Cardiology and Other Societies on Cardiovascular Disease Prevention in Clinical Practice. Eur Heart J 2016;37:2315-81.
Toft U, Kristoffersen L, Ladelund S et al. Relative validity of a food frequency questionnaire used in the Inter99 study. Eur J Clin Nutr 2008;62:1038-46.
The Danish Veterinary and Food Administration. Kostkompasset - vejen til en sund balance. Danish Veterinary and Food Administration, 2010:22.
The Lipid Clinic, Department of Cardiology, Aalborg University Hospital & The Danish Heart Foundation. HjerteKost. 2014. www.aalborguh.rn.dk/forskning/forskningsomraader/specialer/kardiologi/lipidklinikken/-/media/Hospitaler/AalborgUH/For-sundhedsfaglige/Forskning/Dokumentsamling/Andet/Appendix-A_HeartDiet.ashx/ (5 Oct 2018).
Lauritsen JM. EpiData Software. 2001. www.epidata.dk/ (5 Oct 2018).
Lauritsen J, Center for Applied Computer Science University of Copenhagen Denmark. FoodCalc 1.3. 1998. www.ibt.ku.dk/jesper/foodcalc/ (5 Oct 2018).
Laake K, Seljeflot I, Schmidt EB et al. Serum fatty acids, traditional risk factors, and comorbidity as related to myocardial injury in an elderly population with acute myocardial infarction. J Lipids 2016;2016:4945720.
Thumham DI, Smith E, Flora PS. Concurrent liquid-chromatographic assay of retinol, alpha-tocopherol, beta-carotene, alpha-carotene,
lycopene, and beta-cryptoxanthin in plasma, with tocopherol acetate as internal standard. Clin Chem 1988;34:377-81.Toft U, Kristoffersen LH, Lau C et al. The Dietary Quality Score: validation and association with cardiovascular risk factors: the Inter99 study. Eur J Clin Nutr 2007;61:270-8.
Siri-Tarino PW, Sun Q, Hu FB et al. Meta-analysis of prospective cohort studies evaluating the association of saturated fat with cardiovascular disease. Am J Clin Nutr 2010;91:535-46.
de Souza RJ, Mente A, Maroleanu A et al. Intake of saturated and trans unsaturated fatty acids and risk of all cause mortality, cardiovascular disease, and type 2 diabetes: systematic review and meta-analysis of observational studies. BMJ 2015;351:h3978.
Dehghan M, Mente A, Zhang X et al. Associations of fats and carbohydrate intake with cardiovascular disease and mortality in 18 countries from five continents (PURE): a prospective cohort study. Lancet 2017;390:2050-62.
Sacks FM, Lichtenstein AH, Wu JHY et al. Dietary fats and cardiovascular disease: a presidential advisory from the American Heart Association. Circulation 2017;136:e1-e23.
Tjønneland A, Overvad K, Haraldsdóttir J et al. Validation of a semiquantitative food frequency questionnaire developed in Denmark. Int J Epidemiol 1991;20:906-12.
Sullivan BL, Williams PG, Meyer BJ. Biomarker validation of a long-chain omega-3 polyunsaturated fatty acid food frequency questionnaire. Lipids 2006;41:845-50.