Skip to main content

Danskernes rygevaner gennem 50 år: storrygere og smårygere

2. nov. 2005
3 min.

WHO offentliggjorde i februar dette år en rapport med bl.a. en oversigt over rygehyppighederne i WHO's europæiske region inden for de seneste år (1). Dette gav anledning til en del debat i Danmark, især fordi nye danske tal tydede på et fald i rygehyppighederne. Et fald som ikke fremgik af WHO-rapporten.

På baggrund af dette kan det være af interesse at give en oversigt over visse karakteristika ved udviklingen i danskernes rygevaner over en længere periode. Denne kommentar gengiver udviklingen blandt smårygere og cigaretstorrygere i Danmark inden for de seneste 50 år.

De anvendte oplysninger om rygevaner stammer fra nationalt repræsentative undersøgelser blandt voksne danskere. Marie Lindhardts undersøgelser fra 1952-1954 er baseret på knap 17.000 svarpersoner (2), undersøgelsen fra 1964 på 1.500 svarpersoner (3), undersøgelserne fra 1970, 1975, 1980, 1985 og 1990 på årligt ca. 17.000 svarpersoner (4), undersøgelsen fra 1994 på knap 5.000 svarpersoner (5) og undersøgelsen fra 2000 på knap 17.000 svarpersoner (http://susy.sifolkesundhed.dk, 22. februar, 2002). I alle undersøgelserne gengives hyppighederne af dagligrygere og af cigaretstorrygere. Ud fra disse tal defineres smårygere som forskellen mellem disse to hyppigheder og vil derfor omfatte dem, der ryger færre end 15 cigaretter om dagen, ryger pibe, cigar eller cerutter.

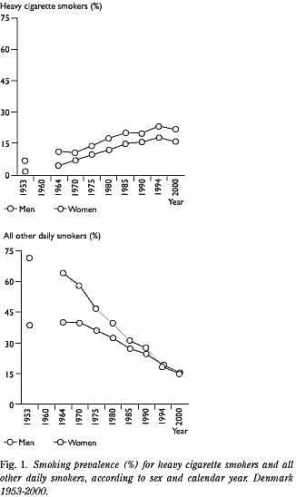
Andelen af cigaretstorrygere er steget jævnt siden 1950'erne og har i 1990'erne ligget på ca. 15% blandt kvinder og godt 20% blandt mænd (Fig. 1). Tallene fra 2000 tyder på en stagnation eller et svagt fald. Gennem hele perioden har niveauet for cigaretstorrygere været næsten konstant fem procentpoint højere blandt mænd end blandt kvinder.

For smårygerne er billedet helt anderledes med et jævnt fald siden 1950'erne (Fig. 1). For mændene har der været et meget kraftigt fald fra næsten 75% til 15%, for kvinderne et mere moderat fald fra omkring 40% i starten af perioden til 15% i 2000. Den store forskel mellem mænd og kvinder er altså gradvist blevet mindre, og i sidste halvdel af 1990'erne er der ingen forskel.

De to modsatrettede forløb for cigaretstorrygere og smårygere betyder naturligvis, at rygerpopulationens sammensætning har ændret sig gennem perioden. Cigaretstorrygerne fylder mere og mere i den samlede rygergruppe (Fig. 2). Blandt mændene var det mindre end 10% af alle rygerne, der var cigaretstorrygere i 1950'erne, i 1980 var det 30% og i 2000 var det tæt på 60%. For kvinderne er billedet det samme på et lidt lavere niveau, så i 2000 var halvdelen af alle kvindelige rygere cigaretstorrygere.

Opgørelser over rygehyppigheder angiver sædvanligvis det totale antal rygere og cigaretstorrygere. Sjældent angives særskilte opgørelser for gruppen af smårygere, der omfatter personer, der ryger færre end 15 cigaretter om dagen, ryger pibe, cigar eller cerutter.

Opdelingen i cigaretstorrygere og smårygere viser to modsatrettede tendenser. Resultaterne tyder på, at det er smårygerne, der kan og vil holde op med at ryge. Derimod enten kan eller vil cigaretstorrygerne i langt mindre grad stoppe med rygningen.

Dette forhold og den ændrede sammensætning af rygerpopulationen med større og større andel cigaretstorrygere har stor betydning. For det første kan det ikke forventes, at det observerede fald i den totale rygehyppighed vil modsvares af en tilsvarende bedring i sundhedstilstanden, når det er smårygerne, der holder op med at ryge. For det andet må den fremtidige indsats over for reduktion af rygning have specielt fokus på gruppen af cigaretstorrygere.

Statens Institut for Folkesundhed, København, cand.stat. Knud Juel

Referencer

  1. WHO Regional office for Europe. The European report on tobacco control policy. Genève: WHO, 2002.
  2. Lindhardt M. Sygdomsundersøgelsen i Danmark. København: Munksgaard, 1960.
  3. Bonnevie P. Befolkningens rygevaner. Ugeskr Læger 1964; 126: 1433-5.
  4. Nielsen PE, Sørensen JF. Danskernes rygevaner 1988-1993. En opfølgning af tidligere befolkningsundersøgelser. Ugeskr Læger 1995; 157: 3451-6.
  5. Kjøller M, Rasmussen NK, Keiding L, Petersen HC, Nielsen GA. Sundhed og sygelighed i Danmark 1994. København: DIKE, 1995.