Skip to main content

Cowdens syndrom diagnosticeret hos patienter med store hoveder, falske vorter og struma

Anne-Bine Skytte1, Anders Bojesen1 & Anette Bygum2

20. jan. 2014
4 min.

Cowdens syndrom (CS) er et sjældent, autosomalt dominant arveligt cancersyndrom, hvor der i ca. 85% af tilfældene kan påvises en medfødt mutation i tumorsuppressorgenet PTEN. Patienter med CS har en væsentligt øget risiko for at få multiple benigne og maligne tumorer i forskellige organer og kan derved ses i mange forskellige specialer [1]. De hyppigste symptomer på syndromet er makrocefali og hudmanifestationer i form af trikilemmomer og punktate hyperkeratoser. De fleste patienter har symptomer ved 20-årsalderen, men mange er væsentligt ældre og har gennemgået mange operative indgreb, før diagnosen bliver stillet. Kombination af makrocefali, multiple tumorer med palmoplantare keratoser, trikilemmomer og evt. lignende tilfælde i familien bør vække mistanke om CS [2]. Hos kvinder med CS ses der hyppigt benigne og maligne forandringer i mammae; således har op til 76% fibrocystiske forandringer, og 25-80% får cancer mammae (bilateral sygdom hos 50%). Op mod 50% får struma, og en mindre del (7%) får cancer thyroideae.

SYGEHISTORIE

En dansk kvinde, der var født i 1962, blev henvist til genetisk rådgivning pga. punktate palmoplantare hyperkeratoser (PPH) (Figur 1) og mistanke om mulig sammenhæng med ophobning af cancertilfælde (øsofaguscancer, coloncancer og cervixcancer) i hendes familie. Hun var gennem flere år søgt behandlet for refraktære vorter på hænder og fødder. Det blev oplyst, at hun et år gammel var blevet henvist til udredning pga. makrocefali og fik foretaget kraniotomi herfor. Siden 25-årsalderen havde hun fået excideret 18 intumescenser på hud og slimhinder, bl.a. verruca vulgaris, callus, keratosis punctata, hæmangiom, papillom, neurom, fibrom i kindslimhinde, reaktiv hyperkeratose på tungeranden og adenom i tarmen. Da hun var 27 år, fik hun struma og blev senere partielt strumektomeret. Da hun var 42 år, blev hun bilateralt mastektomeret pga. af bilateralt duktalt carcinoma in situ.

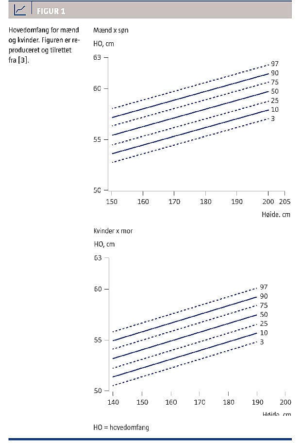
Diagnosen Cowdens syndrom blev stillet på baggrund af sygehistorien, da hun var 49 år. En objektiv undersøgelse med fokus på palmoplantare hyperkeratoser og makrocefali i kombination med den lange liste over forskellige tumorer i hud, slimhinder, mammae, thyroidea og tarm vakte mistanken. Hun var 162 cm høj og havde et hovedomfang på 61 cm (> 97-percentilen) [3].

Patientens 23-årige søn blev efterfølgende undersøgt og havde makrocefali med et hovedomfang på 66 cm (> 97-percentilen ved en højde på 181 cm), struma, hæmangiomer og PPH. Han havde aldrig tidligere søgt læge for nogen af disse symptomer. Patienternes hovedomfang er vist i Figur 2.

Ved bidirektionel sekventering af den kodende sekvens af PTEN blev der påvist en mutation i hete- rozygot form (NM_000314.4:c.632dupG. (p.Cys211Trpfs*32)) hos indekspatienten og hendes søn. Mutationen er tidligere beskrevet hos andre patienter med CS. Mutationen blev ikke genfundet hos patientens mor, som havde haft cervix- og coloncancer, og heller ikke hos hendes far, som havde haft øsofaguscancer. Der er formentlig tale om en nymutation, som det ses hos mindst 10% af patienterne med CS.

Der blev foretaget histopatologisk revision af tidligere hudpræparater, og mindst to trikilemmomer kunne nu identificeres.

DISKUSSION

Diagnosen CS blev stillet på baggrund af de behandlingsrefraktære vortelignende hudforandringer i kombination med makrocefali, struma, brystcancer og en familieanamnese med cancer. Sønnen blev indkaldt til klinisk undersøgelse og havde en fænotype, der var suspekt for CS og kunne bekræftes molekylærgenetisk.

Patienter med CS vil komme i kontakt med egen læge og ofte dermatologer pga. de mange forskelligartede hudmanifestationer, bl.a. faciale trikilemmomer, slimhindefibromer og PPH [4, 5].

PPH er sammen med makrocefali beskrevet som første symptom på CS, men også mamma- og thyroideakirurger vil se disse patienter, og specielt kombinationen af cancer og makrocefali bør vække mistanke om CS [2].

Denne sygehistorie understreger vigtigheden af at overveje CS differentialdiagnostisk, når PPH er til stede, da en sikker diagnose er vigtig for at sikre den relevante opfølgning pga. den væsentligt øgede risiko for udvikling af cancer.

KORRESPONDANCE: Anne-Bine Skytte, Klinisk Genetisk Afdeling, Sygehus Lillebælt, Kabbeltoft 25, 7100 Vejle. E-mail: anskyt@rm.dk

ANTAGET: 13. december 2012

Publiceret på Ugeskriftet.dk: 1. juli 2013

INTERESSEKONFLIKTER:

Summary

Cowden syndrome diagnosed in patients with macrocephaly

Cowden syndrome is a rare autosomal dominant syndrome with a predisposition to cancer. We present a case of Cowden syndrome in a mother and her son, who were diagnosed with palmoplantar hyperkeratosis, macrocephaly and goitre. Early diagnosis is a challenge as the patients present with a variety of symptoms, but it is important because of the risk of cancer.

Referencer

LITTERATUR

  1. Hobert JA, Eng C. PTEN hamartoma tumor syndrome: an overview. Genet Med 2009;11:687-94.

  2. Shiovitz S, Everett J, Huang SC et al. Head circumference in the clinical detection of PTEN hamartoma tumor syndrome in a clinic population at high-risk of breast cancer. Breast Cancer Res Treat 2010;124:459-65.

  3. Bushby KM, Cole T, Matthews JN et al. Centiles for adult head circumference. Arch Dis Child 1992;67:1286-7.

  4. Sharabi SE, Koshy JC, Hollier LH, jr. Multiple, recurrent, refractory vascular malformations as the primary presenting feature of a PTEN mutation. Pediatr Dermatol 2011;28:466-7.

  5. van der Velden JJ, Vreeburg M, Smeets EE et al. Skin abnormalities in individuals with macrocephaly: Cowden disease from a dermatologist‘s point of view. Int J Dermatol 2008;47(suppl 1):45-8.