Skip to main content

Erfaringer med infliximab til behandling af aktiv reumatoid artrit og spondylartropati

Jan Dahlin & Søren Freiesleben Sørensen

1. nov. 2005
9 min.

Introduktion: Formålet med studiet var at beskrive erfaringerne med anvendelsen af infliximab på en reumatologisk klinik i en treårsperiode.

Materiale og metoder: I alt 35 patienter blev behandlet med infliximab. Alle patienter fik methotrexat før og under behandlingen. Femogtyve patienter havde diagnosen reumatoid artrit. Ni patienter havde diagnosen spondylartropati. Endelig blev en patient, som led af en invaliderende kombination af synovit, acne, pustulose, hyperostose og osteit (SAPHO), behandlet.

Resultater: I gruppen med reumatoid artrit forblev 14 patienter i behandling med infliximab. Af disse havde fem patienter behov for dosisøgning. Blandt de resterende patienter var der to tilfælde af primære nonrespondere, og hos resten af gruppen var effekten aftagende på trods af dosisøgning, hvorfor behandlingen blev seponeret. Gruppen af patienter med spondylartropati fik tilsyneladende et godt klinisk resultat af behandlingen. Patienten med SAPHO-syndrom oplevede en klar bedring. Behandlingen blev seponeret hos en patient pga. recidiverende erysipelas i ansigtet. Der blev ikke registreret andre mulige bivirkninger eller allergiske reaktioner.

Diskussion: 38% af patienterne med reumatoid artrit havde et tilfredsstillende klinisk respons på standarddosis af infliximab. Efter dosisøgning opnåedes tilfredsstillende respons hos yderligere 21% af patienterne. Hos 41% blev behandlingen seponeret på grund af utilstrækkelig effekt. Hos patienter, som responderer godt på standarddosis, må infliximab siges at være en tilfredsstillende behandling.

Bioteknologiske lægemidler har revolutioneret behandlingen af inflammatoriske reumatiske sygdomme, da de har større effektivitet og færre bivirkninger end konventionelle antireumatika. De først introducerede bioteknologiske lægemidler etanercept og infliximab har været på markedet i Danmark siden ultimo 1999. Pga. leveringsvanskeligheder har etanercept kun været tilgængelig i yderst begrænset omfang, hvorfor hovedparten af patienterne er behandlet med infliximab. Infliximab er et monoklonalt murint antistof rettet mod tumornekrosefaktor (TNF)-alfa, som ved genteknologi er modificeret således, at hovedparten af molekylet består af humant IgG. Infliximab binder solubelt og cellebundet TNF-alfa. Den kliniske effekt er dokumenteret i form af en række publicerede undersøgelser, hvor infliximab er anvendt som monoterapi [1] og i kombination med methotrexat ved arthritis rheumatoides [2].

Der er endvidere fremkommet meddelelser, der dokumenterer, at infliximab (og etanercept) har gunstig effekt på patienter med spondylartropatier [3, 4]. Et væsentligt problem i forbindelse med brugen af bioteknologiske farmaka er den høje pris, som andrager mellem 60.000 kr. og 120.000 kr. pr. patient pr. år. På Reumatologisk Klinik, Bispebjerg Hospital, påbegyndte vi behandlingen af den første patient med infliximab den 20. december 1999.

Formålet med herværende arbejde er at beskrive de praktiske kliniske erfaringer med behandlingen af i alt 35 patienter med infliximab. Behandlingen blev påbegyndt i perioden fra den 20. december 1999 til den 20. december 2002. Dataopsamlingen afsluttedes den 20. december 2002.

Materialer og metoder

Flertallet af patienterne havde diagnosen reumatoid artrit i henhold til American College of Rheumatology (ACR)-kriterierne (5). Til monitorering af behandlingen anvendtes ACR's kernedata: Health assessment questionnaire (HAQ), patientens bedømmelse af smerter på en visuel analog smerteskala (VAS), patientens globale bedømmelse af generel sygdomsaktivitet på VAS-skala, antal hævede og ømme led, lægens globale vurdering af sygdomsaktiviteten på VAS-skala, samt C-reaktivt protein (CRP). Kernedataene blev opsamlet ved behandlingens start og seks uger efter behandlingens start, herefter en gang om året. Alle patienter med reumatoid artrit havde før behandlingen været forsøgt behandlet med mindst et disease-modifying anti-rheumatic drug (DMARD), som førstevalg methotrexat og om muligt en kombinationsbehandling med tre forskellige DMARD's uden tilfredsstillende klinisk effekt. Ni patienter havde diagnosen spondylartropati, hvoraf to havde arthritis psoriatica og de resterende spondylitis ankylopoietica. Der er hos disse patienter ud over kernedata registreret Bath ankylosing spondylitis functional index (BASFI) og Bath ankylosing spondylitis metrology index (BASMI)-score [6, 7] på de samme tidspunkter som registrering af kernedata ved reumatoid artrit. Endelig er en enkelt patient med et invaliderende SAPHO-syndrom blevet behandlet. Alle patienterne fik methotrexat 20 mg før og under behandlingen. Hvis denne dosis ikke blev tålt, reduceredes methotrexatbehandlingen ned til en mindstedosis på 10 mg pr. uge. Alle patienterne fik endvidere folinsyre 1 mg daglig undtagen på dagen for methotrexatindtagelsen. Infliximab blev givet i form af intravenøs infusion i standarddosis: 200 mg på tid 0, uge 2, uge 6 og herefter hver ottende uge. Hos nogle patienter optrådte der til trods for et tilfredsstillende primært klinisk respons behov for øget infliximabdosis senere i behandlingsforløbet. Hos nogle patienter recidiverede symptomerne 2-4 uger før den planlagte infusion efter otte uger, og i sådanne tilfælde reduceredes intervallet mellem infusionerne til fire eller seks uger. I en anden gruppe af patienter var der i forløbet et vigende respons umiddelbart efter infliximabinfusionerne, og i sådanne tilfælde blev infliximabdosis øget til 400 mg og i et enkelt tilfælde til 600 mg. Endelig har nogle patienter haft behov for infusion hver fjerde uge af 400 mg.

Det har været den generelle holdning, at man ikke har ønsket at øge dosis ud over dette niveau pga. de økonomiske konsekvenser. Behandlingseffekten blev vurderet på basis af ovennævnte kernedata, BASMI- og BASFI-score. Den endelige afgørelse af, om en patient havde et tilfredsstillende respons, hvilede dog på den behandlende læges skøn. I tilfælde med primært behandlingssvigt blev behandlingen seponeret efter tredje eller fjerde infusion. Ved sekundært behandlingssvigt blev dosis øget efter ovenstående retningslinjer, og hvis dette ikke medførte det tilsigtede resultat, blev behandlingen seponeret.

Som kontrol af behandlingens sikkerhed blev der foretaget blodprøveundersøgelser, hvor der blev målt hæmoglobin, foretaget leukocyt- og differentialtælling, målt antallet af trombocytter, kreatinin, aspartataminotransferase (ASAT), basisk fosfatase samt anvendt urinstiks til måling af protein, blod og glukose. Sidstnævnte undersøgelser blev foretaget før behandlingens start, samt hver gang patienterne mødte til infliximabinfusion.

På grund af risikoen for infektioner, specielt tuberkulose [8], blev patienterne før behandlingens start udspurgt om kontakt med tuberkulosepatienter eller symptomer på tidligere tuberkulose, ligesom der blev foretaget røntgenundersøgelser af thorax. Fra efteråret 2002 blev der endvidere foretaget Mantoux-test før behandlingsstart.

Resultater

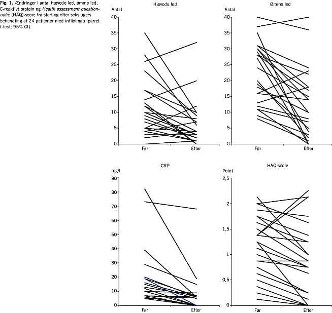
Tabel 1 viser de demografiske data. Som anført domineres materialet af patienter med reumatoid artrit. Fig. 1 viser det primære respons seks uger efter behandlingsstart hos 24 af de 25 patienter med reumatoid artrit. Hos en patient blev behandlingen iværksat så sent, at seksugersevalueringen ikke kunne gennemføres i observationsperioden. Der er i gruppen højsignifikant (p < 0,01) bedring i antallet af hævede og ømme led, CRP og HAQ-score. To patienter fik primært behandlingssvigt, mens de resterende 22 patienter alle havde klar bedring. Patienterne er fulgt i ovennævnte treårsperiode, og resultatet var, at ni patienter fik et blivende og tilfredsstillende klinisk respons på ovennævnte standarddosering af infliximab. Hos 13 patienter måtte infliximabdosis øges efter ovenstående retningslinjer, og blandt disse patienter måtte behandlingen afbrydes hos otte på grund af utilfredsstillende effekt (Fig. 2 ). Blandt de ni patienter, som fik et tilfredsstillende respons på infliximab, var tre patienter før behandlingens start i behandling med prednisolon, og hos disse tre patienter kunne prednisolon helt seponeres. Blandt de ni patienter med spondylartropati fik en patient primært behandlingssvigt, fem patienter fik et tilfredsstillende klinisk respons på standarddosis, en patient kunne behandles tilfredsstillende med øgede doser infliximab, og to patienter måtte udgå pga. sekundært behandlingssvigt. Patienten med SAPHO-syndrom fik et markant behandlingsrespons. En patient med reumatoid artrit havde, da hun mødte til den fjerde infliximabinfusion, erysipelas i ansigtet. Infektionen blev behandlet med V-penicillin. Syv dage senere var erysipelas svundet, og patienten fik standarddosis infliximab. Behandlingen fortsattes uændret, men da patienten mødte til ottende infliximabinfusion, havde hun igen erysipelas i ansigtet, hvorfor infliximab blev seponeret. Denne hændelse indtraf efter udløb af dataopsamlingsperioden.

Diskussion

Der er i forbindelse med infliximabbehandling rapporteret om en øget tendens til øvre luftvejsinfektioner, reaktivering af tuberkulose og overfølsomhedsreaktioner i forbindelse med infusionerne. Det er bemærkelsesværdigt, at vi i herværende materiale af 35 konsekutivt valgte patienter kun har måttet seponere behandlingen hos en patient pga. recidiverende infektioner. Grunden til, at der ikke er forekommet overfølsomhedsreaktioner, er muligvis, at alle patienter konsekvent er behandlet med methotrexat, som i al fald teoretisk kan mindske risikoen for sensibilisering mod infliximab. Det fremgår, at ni ud af de 24 patienter med reumatoid artrit fik et tilfredsstillende klinisk respons på standarddosis af infliximab. Hos 13 patienter var det imidlertid nødvendigt at øge dosis for at opnå tilfredsstillende klinisk effekt, og blandt disse patienter måtte otte efterfølgende udgå pga. vigende effekt trods forsøg på øgning af infliximab ud over standarddoseringen. Det er vist, at en fjerdedel af de patienter, der var i behandling med standarddosis af infliximab, efter 54 ugers behandling havde umålelige serumværdier af infliximab på tidspunktet før næste planlagte infusion efter otte uger [9]. Hos disse patienter var det kliniske behandlingsrespons dårligere end hos patienter med højere serumværdier. Der er således individuelle forskelle i farmakokinetik blandt patienterne, hvilket kunne forklare det varierende behandlingsrespons. Sådanne forskelle kunne bero på varierende dannelse af blokerende antistoffer mod infliximab [10]. Med hensyn til de ni patienter med spondylartropati anses materialet for at være for beskedent til, at man kan drage endelige konklusioner, men det er indtrykket, at infliximab hos en stor del af disse patienter har god effekt. Præparatets pris giver anledning til bekymring især hos patienter, som ikke kan klare sig med den normale standarddosering, idet en fordobling eller en firedobling af standarddosissen medfører en tilsvarende stigning af omkostningerne til behandlingen, hvilket giver anledning til overvejelser af cost-benefit hos patienter med dette forløb.

I den beskrevne periode har der i praksis ikke været alternativer til behandlingen med infliximab, men siden afslutningen af observationsperioden er der fremkommet nye bioteknologiske lægemidler, som kan forsøges i sådanne tilfælde. Hos patienter, som responderer godt på standarddosis uden behov for dosisøgning, må infliximab siges at være en tilfredsstillende behandling, også ud fra et praktisk synspunkt, idet disse patienter kun behøver at møde til en infusionsbehandling hver ottende uge.


Søren Freiesleben Sørensen, Reumatol ogisk klinik H, H:S Bispebjerg Hospital, DK-2400 København NV. E-mail: sfs01@bbh.hosp.dk

Antaget den 30. September 2003.

H:S Bispebjerg Hospital, Intern medicinsk klinik I.

Referencer

  1. Elliott MJ, Maini RN, Feldmann M et al. Randomised double-blind comparison of chimeric monoclonal antibody to tumour necrosis factor α (cA2) versus placebo in rheumatoid arthritis. Lancet 1994;344:1105-10.
  2. Lipsky PE, van der Heijde DM, St. Clair EW et al. Infliximab and methotrexate in the treatment of rheumatoid arthritis. N Engl J Med 2000;343:1594-602.
  3. Braun J, Brandt J, Listing J et al. Treatment of active ankylosing spondylitis with infliximab: a randomised controlled multicentre trial. Lancet 2002;359:1187- 93.
  4. Gorman JD, Sack KE and Davis SC. Treatment of ankylosing spondylitis by inhibition of tumor necrosis factor α . N Engl J Med 2002;346:1349-56.
  5. Arnett FC, Edworthy SM, Block DA et al. The American Rheumatism Association 1987 revised criteria for the classification of rheumatoid arthritis. Arthritis Rheum 1988;31:315-24.
  6. Calin A, Garrett S, Whitelock H et al. A new approach to defining functional ability in ankylosing spondylitis: the development of the Bath ankylosing spondylitis functional index. J Rheumatol 1994;21:2281-5.
  7. Jenkinson TR, Mallorie PA, Whitelock HC et al. Defining spinal mobility in ankylosing spondylitis (AS). J Rheumatol 1994;21:1694-8.
  8. Keane J, Gerishon S, Robert P et al. Tuberculosis associated with infliximab, a tumor necrosis factor α -neutralizing agent. N Engl J Med 2001;15:1098-104.
  9. St.Clair EW, Wagner CL, Fasanmade AA et al. The Relationship of serum infliximab concentrations to clinical improvement in rheumatoid arthritis. Arthritis Rheum 2002;46:1451-9.
  10. Baert F, Noman M, Vermeire S et al. Influence of immunogenicity on the long term efficacy of infliximab in Crohn's disease. N Engl J Med 2003;348:2155-6.