Skip to main content

Forskelle mellem hospitaler i prognose efter hjertestop uden for hospital

Læge Jesper Kjærgaard, læge John Bro-Jeppesen, overlæge Lars Simon Rasmussen, overlæge Søren Loumann Nielsen, læge Fredrik Folke, overlæge Freddy Lippert, overlæge Michael C. Wanscher & overlæge Christian Hassager Rigshospitalet, Kardiologisk Klinik B 2142, Thoraxanæstesiologisk klinik, Hjertecentret, Anæstesi- og operationsklinikken og Akutlægebilen, HovedOrtoCentret, Gentofte Hospital, Kardiologisk Afdeling P og Lab, og Region Hovedstaden, Enhed for Akut Medicin og Sundhedsberedskab

19. jun. 2009
14 min.

Introduktion: Overlevelsesrater efter hjertestop uden for hospital varierer meget. Rutine og forskellig specialiseringsgrad på det modtagende hospital kan være en medvirkende faktor. Formålet med dette studie var at undersøge, om der var forskel på langtidsoverlevelsen mellem hospitaler i hovedstadsområdet efter vellykket genoplivning for hjertestop uden for hospital.

Materiale og metoder: I perioden 2002 til 2006 forsøgte akutlægebilen i København genoplivning af 1.098 patienter med hjertestop uden for hospital. Heraf fik 330 (30%) spontan cirkulation og blev indbragt til hospital.

Resultater: Patienter der blev indbragt til Rigshospitalet var yngre, det var hyppigere mænd og flere havde ventikelflimmer/pulsløs ventrikulær takykardi (VF/pVT) som initiale rytme og havde fået hjertelungeredning ved bystandere. Overlevelse efter 4,6 år var 41% for patienter, der blev indlagt på Rigshospitalet og 10% for patienter, der blev indlagt på andre hospitaler, p < 0,0001. Justeret for forskelle i kendte risikofaktorer var den relative risiko for død 1,8 (95%-konfidensinterval (KI): 1,4-2,5) ved indlæggelse på andre hospitaler sammenlignet med Rigshospitalet.

Konklusion: Overlevelsesraten efter hjertestop uden for hospital var højere for patienter, der indbragtes til Rigshospitalet sammenlignet med andre hospitaler i samme område. Yderligere studier er nødvendige for at identificere faktorer, der kan forklare disse forskelle.

Hjertestop uden for hospital er forbundet med en dårlig prognose, men overlevelsesraten varierer meget i litteraturen. En række faktorer er associeret med en reduceret langtidsoverlevelse, herunder høj alder, tid til ambulancen er fremme, type af hjerterytme, og om hjertelungeredning er påbegyndt, før ambulancepersonalet når frem [1-3].

Nye undersøgelser har vist forskelle i overlevelsen mellem hospitaler, som kun delvist kan forklares med ovennævnte faktorer [4-6]. Det har været foreslået, at også forskelle i hospitalsbehandling efter genoplivning kan være væsentlige, herunder om patienten indlægges på en højt eller mindre specialiseret afdeling. Forskelle mellem hospitalers indretning, specialiseringsniveau samt behandlingstilbud har imidlertid ikke sikkert kunnet relateres til disse forskelle i overlevelse [4, 5].

Det er uafklaret, om lignende forskelle kan findes i hovedstadsområdet, hvor responstider fra alarmering til ambulancen er fremme er korte, og hvor den præhospitale lægebehandling sikrer specialistbehandling tidligt i forløbet. Formålet med dette registerstudie var at undersøge, om der var forskel på langtidsoverlevelsen mellem hospitalerne i hovedstadsområdet efter vellykket genoplivning uden for hospital.

Materiale og metoder

Akutlægebilen i hovedstadsområdet betjente på opgørelsestidspunktet et geografisk område på 90 km2 med en population på 590.000 mennesker, som i dagtiden forøges med ca. 20%. Ved alarmmeldingen »hjertestop« disponeres akutlægebilen samtidigt med en primærambulance som et rendezvous på skadestedet [7].

Umiddelbart efter afsluttet patientbehandling udfylder den behandlende læge et særligt registreringsark, som indeholder oplysninger om tidspunkter for ankomst, samt om og hvornår der opnås spontan cirkulation (return of spontaneous circulation , ROSC) efter internationalt vedtagne kriterier [8]. Andre oplysninger er CPR-nummer til patientidentifikation, hvor primært uidentificerede patienter får et midlertidigt nummer, som efterfølgende bliver korrigeret, når patienten kan identificeres. Derudover registreres den givne behandling, samt om der efter den behandlende læges vurdering har været tale om et hjertestop med formodet kardiologisk ætiologi, eller om årsagen har været ikkekardiologisk. Registreringen har tidligere været anvendt til forskning og er næsten komplet [9, 10].

Dette studie baserer sig på konsekutive registreringer af patienter med hjertestop uden for hospital, som i perioden 1. juni 2002 til 31. maj 2006 blev behandlet for hjertestop, og hvor man ved ankomst til hospital havde ROSC, eller der var igangværende hjerte-lunge-redning.

Statistik

Populationen blev opdelt i to grupper: Patienter indlagt på højt specialiseret afdeling (Rigshospitalet) og patienter indlagt på de øvrige hospitaler (Bispebjerg, Hvidovre, Frederiksberg og Amager Hospitaler).

Kontinuerlige variable præsenteredes som gennemsnit standardafvigelse eller som median (25% og 75% percentiler) for henholdsvis normalfordelte og ikkenormalfordelte variable, og forskelle mellem grupperne blev vurderet med henholdsvis uparret t-test og Wilcoxon rank sum test. Kategoriske variable blev præsenteret som antal og procent, og forskelle blev analyseret med χ2 -test. Kaplan-Meyer overlevelsesplot blev fremstillet for de enkelte sygehuse, som patienterne blev bragt til. Forskelle mellem overlevelsen i gruppen, der blev indlagt på Rigshospitalet, blev sammenlignet med data fra mindre specialiserede hospitaler. Univariat proportional hazard -regressionsanalyse blev anvendt til at vurdere og justere for konfoundere hos patienter, der blev indlagt på de to typer hospitaler, og en multivariat analyse med alle tilgængelige faktorer blev foretaget med baglæns selektion. Terapeutisk hypotermi efter hjertestop uden for hospital blev indført i løbet af studieperioden på baggrund af anbefalinger fra International Liason Committee on Resuscitation (ILCOR) [11-13]. Baseret på rundringning til hospitalerne [14] blev tidsperioden før og efter implementering af terapeutisk hypotermi taget med som variabel i analysen for at justere for en eventuel effekt af indførelsen af hypotermibehandling på de enkelte hospitaler. Kaplan-Meier-kurver, der var justeret for alle faktorer i den oprindelige mulitivariate model, blev også fremstillet. På grund af forventede forskelle i populationerne, der blev indlagt på Rigshospitalet og de øvrige hospitaler, blev analysen gentaget som en propensity score- analyse, hvorved en matchet delpopulation kan sammenlignes uden bias. Tidsvariable blev endvidere dikotomiserede ved medianen for at tage højde for effekt af eventuel nonlinearitet i disse variable.

Alle statistiske analyser blev udført med SAS statistiksoftware version 9.12 (SAS Institute Inc., Cary, NC, USA).

Resultater

I studieperioden blev 1.683 hjertestop registreret, og der blev forsøgt genoplivning i 1.098 (65%) tilfælde. Hos 336 (30%) af disse 1.098 patienter var der opnået ROSC (n = 326, 97%) eller der var pågående genoplivning (n = 10, 3%, heraf otte patienter til Rigshospitalet) ved ankomsten til hospital (Figur 1 ). Patienterne blev indbragt til Rigshospitalet, Bispebjerg Hospital, Hvidovre Hospital, Frederiksberg Hospital, Amager Hospital eller Gentofte Hospital, se Figur 1. I et enkelt tilfælde kunne information om hospital ikke fremskaffes. I den videre analyse ekskluderede vi patienter (n = 5), der var indlagt på Gentofte Hospital, da dette hospital lå uden for akutlægebilens sædvanlige dækningsområde, samt en patient, hvor oplysningen om hospital ikke kunne fremskaffes.

De patienter, der blev indlagt på Rigshospitalet, var yngre (p < 0,0001), omfattede flere mænd (p < 0,0001), og endvidere var flere patienter blevet forsøgt genoplivet før ambulancepersonalets ankomst sammenlignet med de patienter, der blev indlagt på andre hospitaler, se Tabel 1 . Ventrikelflimmer (VF) eller pulsløs ventrikulær takykardi (pVT) som initial rytme var hyppigere hos patienter, der blev indlagt på Rigshospitalet. Formodet kardiel årsag til hjertestop var 42% for patienterne, der blev indlagt på Rigshospitalet, mod 31% hos patienter, der blev indlagt på andre hospitaler, p = 0,06.

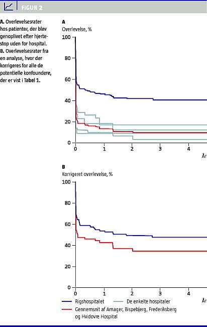
Overlevelse efter et år og op til 4,6 års opfølgning var 46% og 41% for patienter, der blev indlagt på Rigshospitalet, sammenlignet med henholdsvis 13% og 10% for patienter, der blev indlagt på andre hospitaler (p < 0,0001 for begge, Figur 2 A). Den justerede overlevelsesrate var tilsvarende henholdsvis 47% og 34%. Ved sammenligning mellem de enkelte hospitaler var overlevelsesraten højere på Rigshospitalet (p < 0,05 for alle), og der var ingen forskel på overlevelsesraten på de øvrige hospitaler (Figur 2). I gruppen hvor anæstesiologen på akutlægebilen vurderede, at der var tale om kardiologisk årsag til hjertestoppet (n = 105), var langtidsoverlevelsen henholdsvis 47% og 19% for patienter indlagt på Rigshospitalet og de øvrige hospitaler (p < 0,0001).

Alder, mandligt køn, initial rytme med pulsløs elektrisk aktivitet eller asystoli og indlæggelse på andre hospitaler end Rigshospitalet var alle forbundet med en højere risiko for død, mens formodet kardiel årsag til hjertestop og hjertelungeredning påbegyndt før ambulancens ankomst alle var forbundet med en lavere dødelig i univariate analyser, se Tabel 2 .

Multivariat analyse viste, at indlæggelse på et andet hospital end Rigshospitalet, anden rytme end VF/pVT, samt længere tid til ROSC og manglende hjertelungeredning ved bystander før ambulancens ankomst var uafhængige prædiktorer for død efter hjertestop uden for hospital, se Tabel 2. Hos gruppen med formodet kardiologisk årsag til hjertestop var den justerede hazard ratio 1,5 (p = 0,14).

Hverken propensity score-analysen - som frembragte 74 patientpar til videre analyse - eller dikotomisering af tidsvariable ændrede resultatet af analysen (data ikke vist).

Diskussion

Langtidsoverlevelsen efter hjertestop uden for hospital var højere, hvis patienten blev indlagt på et højt specialiseret hospital. På grund af dette studies observationelle design kan årsager til forskellen i overlevelsen hospitalerne imellem ikke klarlægges yderligere, og dette må i stedet undersøges i et prospektivt studie.

Tidligere studier har vist forskelle i overlevelse imellem forskellige hospitaler med bedre overlevelse efter indlæggelse på større centre [4-6], hvor forskelle i behandling og pleje efter hjertestoppet er nævnt som mulige forklaringer. Overlevelsesraterne i det aktuelle studie svarer til fundene og spredningen fundet i udenlandske studier.

I den aktuelle analyse var der imidlertid signifikante forskelle i alder og kønsfordeling samt forhold i forbindelse med genoplivning, som tidligere er vist at have stor indflydelse på overlevelsen efter hjertestop uden for hospital, og som derfor bør tages med i betragtning. Hjertelungeredning påbegyndt af forbipasserende, før ambulancen starter behandlingen, var i lighed med tidligere undersøgelser relateret til en gunstig prognose [2], ligesom tid fra alarm til ambulancen var fremme, samt tid fra behandlingens start til cirkulation var genetableret, alle var vigtige faktorer for overlevelse [1, 15]. Den initiale rytme ved ambulancens ankomst var en anden væsentlig prognostisk faktor [6]. Imidlertid forblev forskellen i overlevelse mellem Rigshospitalet og andre hospitaler markant og signifikant efter statistisk justering for ovennævnte potentielle konfoundere.

Forskelle i socioøkonomiske faktorer og komorbiditet før hjertestoppet er i tidligere studier anført som årsager til regional variation i mortalitet efter hjertestop [3]. Disse oplysninger var ikke tilgængelige i denne analyse, og det kan derfor ikke udelukkes, at de kan have haft indflydelse på resultatet af analysen.

De to typer hospitaler, der indgår i denne undersøgelse, er sammenlignelige på en række områder: Alle er universitetshospitaler, har egne intensiv- og kardiologiske afdelinger, og er alle akkrediterede af Joint Commision , hvilket sikrer en ensartet minimumsstandard for behandling af hjertestop. Samtidig er der dog en række forskelle på den højt specialiserede afdeling og de øvrige afdelinger, som kan have indflydelse på overlevelsen. Akut koronararteriografi og -intervention samt mekanisk cirkulationsstøtte [16] er udelukkende tilgængelige på Rigshospitalet, men patienter med behov for disse undersøgelser har kunnet overflyttes umiddelbart. Dialyse og hæmofiltration ikke er tilgængelige på alle de øvrige hospitaler. Der er også forskelle i intensivafdelingernes størrelse og organisering, og tilgængeligheden af speciallæger i vagten kan være forskellige. Betydningen af disse faktorer i forhold til overlevelse kan ikke vurderes i denne analyse, men dette kan tænkes at påvirke akutlægebilens afgørelse om, hvor patienten skal indlægges. Lignende forskelle er tidligere vist i to nordiske materialer, men relationen til forskelle i overlevelse blev ikke nærmere undersøgt [4, 6]. Hvorvidt koronar arteriografi og eventuel koronar eller anden kardiologisk intervention har indflydelse på overlevelsen efter hjertestop kan ikke sikkert belyses i nærværende analyse, men en eventuel højre overlevelse på grund af disse procedurer vurderes ar være beskeden i forhold til overlevelse hos disse svært syge patienter, og patienter, der blev overflyttet til behandling fra et af de øvrige hospitaler, vil forsat være allokeret til det primært modtagne hospital i denne analyse. Som et surrogat herfor er formodet kardiel genese til hjertestop medtaget i den multivariate analyse, hvorfor de fundne forskelle i overlevelsen er søgt justeret herfor.

Det er velkendt, at man kan observere en øget kvalitet eller effektivitet, når de, der udfører et arbejde, er klar over, at de deltager i udviklingsprojekter, forsøg eller bliver iagttaget. Fænomenet benævnes Hawthorneeffekten og er baseret på amerikanske virksomhedsstudier i 1920'erne og 1930'erne [17]. Fænomenet er efterfølgende blevet foreslået som forklaring på de effekter på behandlingskvalitet, man så hos sundhedspersonale i forbindelse med gennemførelsen af forskningsprojekter eller efter implementering af nye behandlingsmodaliteter, herunder terapeutisk hypotermi [18]. På højt specialiserede afdelinger er nye protokoller ofte en del af behandlingen, og dette menes blandt andet at kunne medvirke til øget kvalitet i behandlingen. Forskelle i antallet af patienter, der blev modtaget på de enkelte hospitaler i perioden kan være en forklarende faktor i forhold til de observerede forskelle i overlevelse.

Cerebral status efter overlevet hjertestop har været undersøgt tidligere. Et tidligere studie i samme geografiske område som det aktuelle studie har vist, at størstedelen af de overlevende patienter (> 90%) er uden væsentlige kognitive deficit, og gruppen har en livskvalitet, som ikke er forskellig fra en normal gruppes seks måneder efter hjertestoppet [19, 20]. Ydermere har terapeutisk hypotermi vist sig at øge fraktionen af patienter, der udskrives med god cerebral status samt at bedre chancerne for overlevelse hos patienter med hjertestop på baggrund af VF/pVT [12, 13]. I nærværende materiale kunne man ikke identificere en øget overlevelse i perioden, hvor hypotermi har været tilgængelig på de enkelte hospitaler.

Det konkluderes, at overlevelsesraten efter hjertestop uden for hospital var signifikant højere for patienter, der blev indlagt på Rigshospitalet, sammenlignet med andre hospitaler i samme område i perioden 2002-2006. Forskellen var ikke betinget af kendte risikofaktorer, men det udelukker ikke tilstedeværelsen af andre væsentlige faktorer. De tilgrundliggende årsager bør undersøges yderligere. Disse kunne omfatte forskelle i tilgængelighed af specialiseret intervention, logistiske forhold, samt indstilling til og tærskel for ændring i behandlingsintensitet eller afslutning af aktiv terapi.


Jesper Kjærgaard, Kardiologisk Klinik B 2142, Hjertecentret, Rigshospitalet, DK-2100 København Ø.

E-mail: jesper.kjaergaard@rh.regionh.dk

Antaget: 28. november 2008

Interessekonflikter: Ingen

Litteraturliste

  1. Hollenberg J, Bang A, Lindqvist J et al. Difference in survival after out-of-hospital cardiac arrest between the two largest cities in Sweden: a matter of time? J Intern Med 2005;257:247-54.
  2. Herlitz J, Eek M, Engdahl J et al. Factors at resuscitation and outcome among patients suffering from out of hospital cardiac arrest in relation to age. Resuscitation 2003;58:309-17.
  3. Dickey W, Adgey AA. Mortality within hospital after resuscitation from ventricular fibrillation outside hospital. Br Heart J 1992;67:334-8.
  4. Engdahl J, Abrahamsson P, Bang A et al. Is hospital care of major importance for outcome after out-of-hospital cardiac arrest? Experience acquired from patients with out-of-hospital cardiac arrest resuscitated by the same Emergency Medical Service and admitted to one of two hospitals over a 16-year period in the municipality of Goteborg. Resuscitation 2000;43:201-11.
  5. Herlitz J, Engdahl J, Svensson L et al. Major differences in 1-month survival between hospitals in Sweden among initial survivors of out-of-hospital cardiac arrest. Resuscitation 2006;70:404-9.
  6. Langhelle A, Tyvold SS, Lexow K et al. In-hospital factors associated with improved outcome after out-of-hospital cardiac arrest. A comparison between four regions in Norway. Resuscitation 2003;56:247-63.
  7. Horsted TI, Rasmussen LS, Lippert FK et al. Outcome of out-of-hospital cardiac arrest--why do physicians withhold resuscitation attempts? Resuscitation 2004;63:287-93.
  8. Langhelle A, Nolan J, Herlitz J et al. Recommended guidelines for reviewing, reporting, and conducting research on post-resuscitation care: the Utstein style. Resuscitation 2005;66:271-83.
  9. Horsted TI, Rasmussen LS, Meyhoff CS et al. Long-term prognosis after out-of-hospital cardiac arrest. Resuscitation 2006;72:214-8.
  10. Holler NG, Mantoni T, Nielsen SL et al. Long-term survival after out-of-hospital cardiac arrest. Resuscitation 2007;75:23-8.
  11. Nolan JP, Morley PT, Hoek TL et al. Therapeutic hypothermia after cardiac arrest. An advisory statement by the Advancement Life support Task Force of the International Liaison committee on Resuscitation. Resuscitation 2003;57:231-5.
  12. Bernard SA, Gray TW, Buist MD et al. Treatment of comatose survivors of out-of-hospital cardiac arrest with induced hypothermia. N Engl J Med 2002;346:557-63.
  13. Mild therapeutic hypothermia to improve the neurologic outcome after cardiac arrest. N Engl J Med 2002;346:549-56.
  14. Horsted TI, Wanscher MC, Rasmussen LS et al. Hypotermibehandling efter hjertestop - en status. Ugeskr Læger 2006;168:458-61.
  15. Jennings PA, Cameron P, Walker T et al. Out-of-hospital cardiac arrest in Victoria: rural and urban outcomes. Med J Aust 2006;185:135-9.
  16. Lindholm MG, Engstrom T, Wachtell K et a

Referencer

  1. Hollenberg J, Bang A, Lindqvist J et al. Difference in survival after out-of-hospital cardiac arrest between the two largest cities in Sweden: a matter of time? J Intern Med 2005;257:247-54.
  2. Herlitz J, Eek M, Engdahl J et al. Factors at resuscitation and outcome among patients suffering from out of hospital cardiac arrest in relation to age. Resuscitation 2003;58:309-17.
  3. Dickey W, Adgey AA. Mortality within hospital after resuscitation from ventricular fibrillation outside hospital. Br Heart J 1992;67:334-8.
  4. Engdahl J, Abrahamsson P, Bang A et al. Is hospital care of major importance for outcome after out-of-hospital cardiac arrest? Experience acquired from patients with out-of-hospital cardiac arrest resuscitated by the same Emergency Medical Service and admitted to one of two hospitals over a 16-year period in the municipality of Goteborg. Resuscitation 2000;43:201-11.
  5. Herlitz J, Engdahl J, Svensson L et al. Major differences in 1-month survival between hospitals in Sweden among initial survivors of out-of-hospital cardiac arrest. Resuscitation 2006;70:404-9.
  6. Langhelle A, Tyvold SS, Lexow K et al. In-hospital factors associated with improved outcome after out-of-hospital cardiac arrest. A comparison between four regions in Norway. Resuscitation 2003;56:247-63.
  7. Horsted TI, Rasmussen LS, Lippert FK et al. Outcome of out-of-hospital cardiac arrest--why do physicians withhold resuscitation attempts? Resuscitation 2004;63:287-93.
  8. Langhelle A, Nolan J, Herlitz J et al. Recommended guidelines for reviewing, reporting, and conducting research on post-resuscitation care: the Utstein style. Resuscitation 2005;66:271-83.
  9. Horsted TI, Rasmussen LS, Meyhoff CS et al. Long-term prognosis after out-of-hospital cardiac arrest. Resuscitation 2006;72:214-8.
  10. Holler NG, Mantoni T, Nielsen SL et al. Long-term survival after out-of-hospital cardiac arrest. Resuscitation 2007;75:23-8.
  11. Nolan JP, Morley PT, Hoek TL et al. Therapeutic hypothermia after cardiac arrest. An advisory statement by the Advancement Life support Task Force of the International Liaison committee on Resuscitation. Resuscitation 2003;57:231-5.
  12. Bernard SA, Gray TW, Buist MD et al. Treatment of comatose survivors of out-of-hospital cardiac arrest with induced hypothermia. N Engl J Med 2002;346:557-63.
  13. Mild therapeutic hypothermia to improve the neurologic outcome after cardiac arrest. N Engl J Med 2002;346:549-56.
  14. Horsted TI, Wanscher MC, Rasmussen LS et al. Hypotermibehandling efter hjertestop - en status. Ugeskr Læger 2006;168:458-61.
  15. Jennings PA, Cameron P, Walker T et al. Out-of-hospital cardiac arrest in Victoria: rural and urban outcomes. Med J Aust 2006;185:135-9.
  16. Lindholm MG, Engstrom T, Wachtell K et al. Perkutan cirkulationsstøtte ved akut hjertesvigt. Ugeskr Læger 2007;169:3282-6.
  17. Campbell JP, Maxey VA, Watson WA. Hawthorne effect: implications for prehospital research. Ann Emerg Med 1995;26:590-4.
  18. Sunde K, Pytte M, Jacobsen D et al. Implementation of a standardised treatment protocol for post resuscitation care after out-of-hospital cardiac arrest. Resuscitation 2007;73:29-39.
  19. Horsted TI, Rasmussen LS, Meyhoff CS et al. Long-term prognosis after out-of-hospital cardiac arrest. Resuscitation 2007;72:214-8.
  20. Bro-Jeppesen J, Kjaergaard J, Horsted TI et al. The impact of therapeutic hypothermia on neurological function and quality of life after cardiac arrest. Resuscitation 2008;80:171-6..