Skip to main content

Graviditet efter simultan pancreas- og nyretransplantation

Jens Fuglsang1, 2, Per Glud Ovesen1, 2, Johan Vestergaard Povlsen3 & Ulla Kampmann1, 4

9. maj 2022
5 min.

Simultan, kombineret transplantation af nyre og pancreas (SKP) er en behandling, der hyppigst tilbydes patienter med type 1-diabetes (T1DM) og samtidig svær nyrefunktionsnedsættelse. En del patienter opnår egenproduktion af insulin i et omfang, så insulininjektioner kan ophøre. Graviditet efter SKP er sjælden. Organtransplantation, nyresygdom, hypertension og diabetes i svangerskabet øger alle risikoen for hypertensive graviditetskomplikationer, herunder præeklampsi.

Vi rapporterer her om en af de første graviditeter i Danmark efter SKP.

SYGEHISTORIE

En 41-årig førstegangsfødende, som havde haft T1DM gennem 31 år, blev henvist med spontant opnået graviditet. Halvandet år før graviditeten var der foretaget SKP, hvorefter patienten blev insulinfri og opnåede normal nyrefunktion og normalt blodtryk (BT). Immunsuppresiv behandling bestod af prednisolon, mycophenolsyre og tacrolimus. Azathiporin erstattede mycophenolsyre før den planlagte graviditet. Kvinden havde gastroparese og havde en gastrisk pacemaker. Der var tidligere foretaget laserbehandling pga. diabetisk retinopati.

Acetylsalicylsyre 150 mg dagligt blev givet som præeklampsiprofylakse fra første trimester. BT var 118/81 mmHg ved første konsultation. Graviditeten blev fulgt tæt, der var tilfredsstillende fostervækst, og der var på intet tidspunkt brug for insulin. HbA1c-værdierne var på 30-36 mmol/mol gennem graviditeten. En øjenundersøgelse viste stationære forhold. Den pacemakerbehandlede gastroparese, som patienten havde, forværredes ikke i graviditeten. Kvinden tog i alt 16 kg på. I graviditetsuge 32+5 var hvile-BT 149/85 mmHg. Labetalolbehandling (200 mg/døgn) blev påbegyndt og øgedes gradvist til et maksimum på 500 mg/døgn i uge 37+. Der var ikke biokemisk holdepunkt for præeklampsi, idet både lever- og trombocyttallene var normale. Der var ikke proteinuri.

I graviditetsuge uge 37+5 blev der foretaget et ukompliceret, planlagt kejsersnit. Der fødtes en fin dreng på 2.710 g (størrelse korrigeret for køn og svangerskabslængde (z-score): -1,2) og 47 cm. Familien blev udskrevet til hjemmet tre et halvt døgn senere.

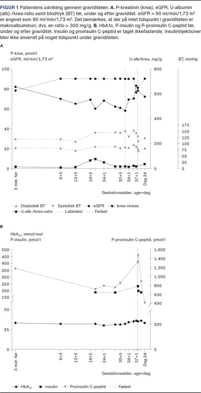
To uger efter fødslen var den nybagte mor i velbefindende. Hun malkede mælk ud til drengen, havde selv tabt sig 10 kg og fik ikke BT-nedsættende medicin. Figur 1A viser udviklingen gennem graviditeten af kreatinin, eGFR og urinalbumin-kreatinin-ratioen. Figur 1B viser HbA1c samt ikkefastende værdier af insulin og proinsulin C-peptid.

DISKUSSION

Graviditeter efter transplantation, herunder SKP, er højrisikograviditeter. Forudeksisterende komorbiditet som hypertension og diabetes øger risikoen for komplikationer i svangerskabet. Den immunsuppressive behandling kan også være forbundet med risici for mor og foster [1]. Der foreligger ingen større studier af graviditet efter SKP [2-4].

Hyppigt opnås der god glykæmisk kontrol efter SKP [1]. Selv om den transplanterede pancreas er velfungerende og derfor minimerer en del af de risici, der følger med T1DM, så vil der efter SKP ofte fortsat være sendiabetiske komplikationer som f.eks. hypertension, retinopati eller neuropati, som alle kan forværres under graviditet, og som derfor nøje må kontrolleres. Der var vedvarende god funktion af pancreas gennem graviditeten og ikke behov for eksogent tilført insulin. Der var således god glykæmisk kontrol, bedømt på blodsukker- og HbA1c-værdier, under hele graviditeten, trods den udtalte insulinresistens, som en graviditet kan medføre.

Der sås ikke forringelse af nyrefunktionen, bedømt ved kreatinin, eGFR og urinalbumin-kreatinin-ratio, heller ikke efter påbegyndt antihypertensiv behandling. Hypertensive komplikationer i graviditeten, inkl. præeklampsi, samt præterm fødsel forekommer hyppigere i graviditeter efter organtransplantation, især efter nyretransplantation og således også efter SKP [2-5]. Der synes ikke at være forskel i graviditetsudkommet for mor og barn, heller ikke i graftfunktion, for gravide med SKP sammenlignet med nyretransplanterede alene [3].

Kejsersnit er den hyppigste fødselsmåde efter SKP [2, 4, 5], men om det skyldes strikte obstetriske årsager, eller om det skyldes patient- eller behandlerpræference er ikke klart. Fødselsvægten beskrives, som her, ofte at være i den lave ende af normalområdet [2-4].

Denne sygehistorie viser, at graviditet efter SKP er en mulighed, der, som i dette tilfælde med en nøje planlagt graviditet, kan ende med godt udkomme for både mor og barn. Det må forventes, at et stigende antal gravide gennemfører graviditet efter organtransplantation. Information om komplikationer og prognose vil være vigtigt for dem, der søger at opnå graviditet.



Korrespondance Jens Fuglsang. E-mail: Jens.Fuglsang@skejby.rm.dk
Antaget 28. februar 2022
Publiceret på ugeskriftet.dk 9. maj 2022
Interessekonflikter Der er anført potentielle interessekonflikter. Forfatternes ICMJE-formularer er tilgængelige sammen med artiklen på ugeskriftet.dk
Referencer findes i artiklen publiceret på ugeskriftet.dk
Artikelreference Ugeskr Læger 2022;184: V10210819

Summary

Pregnancy after simultaneouspancreasandkidney transplantation

Jens Fuglsang, Per Glud Ovesen, Johan Vestergaard Povlsen & Ulla Kampmann

Ugeskr Læger 2022;184: V10210819

In this case report, a 41-year-old nullipara obtained pregnancy one and a half year after a simultaneous pancreas and kidney transplantation (SKP). After SKP, the woman had no need for insulin and no hypertension. Her kidney function was stable during pregnancy and no insulin was needed. During the last weeks of pregnancy, increased blood pressure was seen. Biochemically, there were no signs of preeclampsia and no proteinuria. An elective cesarean section was performed in gestational week 37+5 and a healthy boy, 2,710 g. (–1.2 standarddeviation) was born. Pregnancy after SKP is possible and can have a good prognosis.

Referencer

Referencer

  1. Caretto A, Caldara R, Castiglioni MT et al. Pregnancy after pancreas-kidney transplantation. J Nephrol 2020;33:1009-1018.

  2. Punjala SR, Phillips BL, Chowdhury P et al. Outcomes of pregnancy in simultaneous pancreas and kidney transplant recipients: a single-center retrospective study. Clin Transplant 2021;35(10):e14435.

  3. Tang J, Gulyani A, Hewawasam E et al. Pregnancy outcomes for simultaneous pancreas-kidney transplant recipients versus kidney transplant recipients. Clin Transplant 2021;35(1):e14151.

  4. Normand G, Brunner F, Badet L et al. Pregnancy outcomes in simultaneous pancreas and kidney transplant recipients: a national French survey study. Transpl Int 2017;30:893-902.

  5. McKay DB, Josephson MA. Pregnancy in recipients of solid organs – effects on mother and child. N Engl J Med 2006;354:1281-1293.