Skip to main content

Knogletæthedsmåling og biomarkører til monitorering af osteoporosebehandling

Søren Bønløkke Pedersen* 1, 2, Michael Schønemann Rand* 1, 2, Pia A. Eiken3, 4, Niklas Rye Jørgensen1, 2

6. aug. 2018
13 min.

Der er internationalt ikke opnået enighed om, hvordan patienter, som begynder i osteoporosebehandling, skal monitoreres. I Danmark monitoreres behandlingen primært via gentagne målinger af knoglemineraltæthed (BMD), som måles via dual-energy X-ray absorptiometry (DEXA). Kun i mindre omfang monitoreres behandlingen med gentagne målinger af knoglemarkører (KM), som måles via automatiserede assays. Det er typisk ændringen i BMD og KM efter behandlingsstart, som anvendes til at vurdere det initiale behandlingsrespons.

Da osteoporose er en hyppig sygdom, som er forbundet med øget morbiditet og mortalitet [1], har det stor betydning for såvel individ som samfund, at den bedst egnede behandlingsmonitoreringstest anvendes

i klinikken. Egnetheden kan vurderes ud fra nedenstående tre kriterier [2]: 1) Testens kliniske validitet – med testen skal man kunne prædiktere behandlingens effekt på frakturrisikoen, 2) testens diskriminationsevne – med testen skal man hurtigt og klart kunne skelne respondere fra nonrespondere, og 3) testens praktiske anvendelighed – testen skal bl.a. være lettilgængelig og billig.

I denne artikel vil brugen af BMD og KM i monitoreringstest blive vurderet ud fra ovenstående kriterier. Artiklen er primært baseret på litteratur, som omhandler behandling med bisfosfonat, da dette er den hyppigst anvendte stofgruppe til behandling af osteoporose i Danmark. Der fokuseres på KM-serum prokollagen type I-N-propeptid (s-PINP), som er markør for knogleopbygning, og serum C-terminal telopeptid af type I-

kollagen (s-CTX), som er markør for knoglenedbrydning, da International Osteoporosis Foundation (IOF) og International Federation of Clinical Chemistry and Laboratory Medicine har anbefalet brugen af disse i kliniske forsøg [3].

KAN ÆNDRINGER I KNOGLEMINERALTÆTHED,

SERUM C-TERMINAL TELOPEPTID AF TYPE I-

KOLLAGEN OG SERUM PROKOLLAGEN TYPE I-N-PROPEPTID EFTER BEHANDLINGSSTART PRÆDIKTERE ÆNDRINGER I FRAKTURRISIKOEN?

Hvis ændringerne i BMD, s-CTX og s-PINP skal prædiktere ændringen i frakturrisikoen efter behandlingsstart, må ændringerne i disse biomarkører være stærkt associeret til behandlingens effekt på frakturrisikoen eller forklare en væsentlig andel af denne. Associationen imellem ændringen i BMD og frakturrisiko efter påbegyndelse af forskellige typer antiresorptiv behandling er undersøgt i flere metaanalysestudier [4-7], men resultaterne af disse har været inkonsistente, og der er blevet manet til forsigtighed med fortolkningen heraf [8]. Flere analyser, der er baseret på individuelle patientdata, har vist, at ændringen i BMD er associeret til ændringen i den vertebrale frakturrisiko [5, 9-14]. Eksempelvis viste et studie af Miller et al [12] en relativ

risiko-reduktion på 7,9% (95% konfidens-interval (KI): 2,1-13,5%) for vertebrale frakturer for hver procents øgning i total hofte-BMD efter tre års peroral behandling med ibandronsyre. Studier har endvidere vist, at personer, hvis BMD stiger under behandling med alendronat, risedronat og zoledronsyre, har en lavere risiko for at få vertebrale frakturer, end personer, hvis BMD falder under behandlingen [10, 11, 14]. Et studie viste en reduktion i den vertebrale frakturrisiko på 49% (95% KI: 21-67%) blandt de kvinder, hvis BMD i lænde-ryggen steg 0-5% under risedronatbehandling, sammenlignet med de kvinder, hvis BMD faldt under behandlingen [14]. Ændringerne i BMD har i prospektive studier kunnet forklare 11-42% af behandlingens effekt på den vertebrale frakturrisiko [5, 10, 12-14].

I de fleste studier [9, 15, 16] har der ikke kunnet påvises nogen association imellem ændringen i BMD og

ændringen i den nonvertebrale frakturrisiko efter påbegyndelse af bisfosfonatbehandling, mens man i enkelte dog har fundet en sådan association [10, 17].

Flere studier har vist, at ændringen i KM er associeret til ændringen i den vertebrale frakturrisiko efter påbegyndelse af bisfosfonatbehandling [9, 10]. Et studie viste, at kvinder, som havde et fald i s-PINP efter 12 måneders behandling med zoledronsyre, havde en lavere vertebral frakturrisiko, end kvinder som havde en stigning i s-PINP (oddsratio (OR): 0,22; 95% KI: 0,05-0,88). I studiet forklarede 12-månedersændringen i

s-PINP 58% (95% KI: 15-222 %) af behandlingens effekt på den vertebrale frakturrisiko [10]. Et andet studie viste, at kvinder, som havde et fald i s-PINP på over 30% efter et års alendronatbehandling, hvilket drejer sig om 81% af de behandlede, havde en lavere risiko for vertebrale frakturer, end dem, som havde et fald på 30% eller derunder (OR: 0,45; 95% KI: 0,30-0,70) [9]. Samme studie viste, at for hver standarddeviation

s-CTX faldt efter et års alendronatbehandling, blev den vertebrale frakturrisiko reduceret med 17% (95% KI: 5-27%) [9]. Ændringer i urin-CTX efter 3-6 måneders risedronatbehandling har vist sig at kunne forklare 67% (95% KI: 35-100%) af behandlingens effekt på den vertebrale frakturrisiko over tre år [18]. De studier, hvor man har undersøgt, om ændringer i s-CTX

er associeret til ændringen i den nonvertebrale frakturrisiko, har haft inkonsistente resultater [9, 17]. Sammenhængen imellem ændringen i s-PINP og ændringen i den nonvertebrale frakturrisiko efter påbegyndelse

af bisfosfonatbehandling er kun blevet undersøgt i ét studie, som viste, at kvinder, der havde et fald i s-PINP

på over 70% efter et års alendronatbehandling, havde en signifikant lavere nonvertebral frakturrisiko, end kvinder, som havde et fald på under 70% (hazard ratio: 0,63; 95% KI: 0,46-0,88) [9].

De studier, hvor man har undersøgt både associationen imellem ændringerne i BMD og frakturrisiko og ændringerne i s-CTX/s-PINP og frakturrisiko, har indikeret, at ændringerne i s-CTX og s-PINP er mindst lige så vigtige prædiktorer for behandlingens effekt på frakturrisikoen, som ændringerne i BMD er [9, 10, 17].

HVOR HURTIGT KAN MAN MED MONITORERINGSTESTENE SKELNE

RESPONDERE FRA NONRESPONDERE?

For at kunne vurdere hvornår det er passende at udføre en monitoreringstest, må testens præcision og den

intrapersonelle variation for testmarkøren kendes.

Herudfra kan den mindste ændring i testmarkøren, som kan anses for at være signifikant (least significant change (LSC)), udregnes. Efter påbegyndelse eller ændring af en behandling vil det generelt først være passende at udføre monitoreringstesten, når testmarkøren kan forventes at have ændret sig mere end LSC.

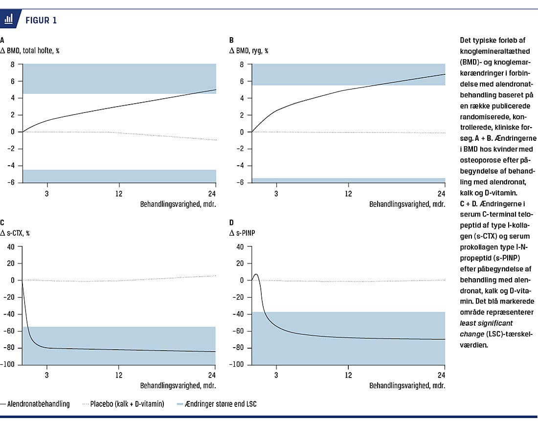
For måling af BMD er størrelsen af LSC i høj grad

afhængig af måleudstyret og udførelsen af målingen, hvorfor LSC varierer imellem behandlingssteder [19, 20]. I klinisk praksis er LSC omkring 4,4% for total hofte-BMD og 5,5% for ryg-BMD [21, 22]. En stigning

i BMD i denne størrelsesorden kan generelt tidligst forventes efter 1-2 års bisfosfonatbehandling [23-26] (Figur 1). De randomiserede kliniske forsøg, hvor man har undersøgt effekten af bisfosfonater, har endvidere vist, at faldet i BMD i placebogrupperne, som fik kalk og D-vitamin, skete meget langsomt [23], hvorfor der ofte går flere år inden et signifikant fald i BMD kan detekteres hos en patient med manglende behandlingsrespons. Uanset om man definerer behandlingsrespons som en signifikant stigning i BMD eller som manglen på et signifikant fald i BMD er det pga. ovenstående generelt uhensigtsmæssigt at måle BMD inden for de to første behandlingsår, da respondere sjældent vil kunne skelnes fra nonrespondere på dette tidspunkt.

For måling af s-PINP og s-CTX er størrelsen af LSC i særlig grad knyttet til præanalytiske faktorer som f.eks. komorbiditet, madindtag og tidspunkt på døgnet [27]. De to sidstnævnte faktorer er især af betydning for

variationen i s-CTX, hvorfor måling heraf bør ske om morgenen med patienten fastende [27], da de højeste værdier pga. udtalt døgnvariation måles tidligt om morgenen. I TRIO-studiet, hvor man undersøgte alendronat, ibandronsyre og risedronats effekt på KM, fandtes LSC for s-CTX og s-PINP at være henholdsvis 56% og 38% [28]. I studiet var det gennemsnitlige fald i

s-CTX og s-PINP efter 12 ugers behandling på henholdsvis 73-81% og 48-63% afhængigt af, hvilket bisfosfonat patienten var i behandling med. Hos 84-98% af forsøgsdeltagerne var faldet i s-CTX større end LSC, og hos 75-94% af forsøgsdeltagerne var faldet i s-PINP større end LSC, igen afhængig af bisfosfonattypen. Hvis behandlingsrespons defineres som et signifikant fald i s-CTX eller s-PINP, vil det derfor være muligt at skelne respondere fra nonrespondere allerede 12 uger efter påbegyndt behandling (Figur 1).

TESTENES PRAKTISKE ANVENDELIGHED

De væsentligste faktorer, som har betydning for den praktiske anvendelighed af brugen af BMD, s-CTX og

s-PINP i en monitoreringstest er beskrevet i Tabel 1.

DISKUSSION

Den ideelle behandlingsmonitoreringstest prædikterer behandlingens effekt på frakturrisikoen, skelner hurtigt og klart respondere fra nonrespondere og er praktisk anvendelig. Flere studier indikerer, at de behandlingsinducerede ændringer i BMD, s-CTX og s-PINP kan prædiktere bisfosfonaters effekt specielt på den vertebrale frakturrisiko. Studierne er heterogene, og i mange har man ikke undersøgt den egentlige prædiktive værdi af BMD-/KM-ændringerne, idet frakturer, som opstår imellem baseline- og followupmålingerne, generelt medinddrages i analyserne. Der er behov for yderligere studier, hvor der tages højde for dette, og hvor den prædiktive værdi af BMD-/KM-ændringer sammenlignes head to head.

Bisfosfonaters kraftige og hurtige virkning på s-CTX og s-PINP bevirker, at behandlingsresponset kan vurderes ved blodprøver allerede 12 uger efter behandlingsstart, hvilket står i stærk kontrast til de 1-2 år, som klinikeren og patienten typisk må vente, når BMD anvendes til behandlingsmonitorering. En tidlig vurdering af behandlingsresponset kan være af særlig betydning, da kompliansproblemer, som er den hyppigste årsag til manglende behandlingsrespons hos patienter med osteoporose, typisk opstår tidligt i behandlingsforløbet [29]. En arbejdsgruppe under IOF og the European Calcified Tissue Society har derfor også anbefalet, at ændringerne i s-CTX og s-PINP anvendes til screening for adheræns til perorale bisfosfonater [30]. Patienten kan selvfølgelig spørges om komplians, men da selv små afvigelser fra de korrekte administrationsinstrukser kan forringe behandlingsresponset, kan patienten have dårlig effekt af behandlingen på trods af korrekt indtaget dosis. Særligt geriatriske patienter, som er stærkt repræsenteret i den osteoporotiske patientgruppe, må antages at være i risiko for administrationsfejl pga. polyfarmaci. Af ovenstående grunde er det ønskværdigt at have en paraklinisk markør for komplians og behandlingseffekt. P.t. er brugen af s-CTX og s-PINP primært begrænset af analysernes tilgængelig i Danmark. Ses der bort herfra, er den praktiske anvendelighed af KM bedre end anvendeligheden af BMD: Prisen pr. knoglemarkøranalyse er en tiendedel af prisen for en DEXA-skanning, markørerne kan måles i en almindelig veneblodprøve, som potentielt kan tages hos patientens egen læge, og prøvesvaret kræver ikke fortolkning af en hospitalslæge.

KONKLUSION

I monitoreringssammenhæng har brugen af s-CTX og

s-PINP en række fordele frem for brugen af BMD, specielt kan behandlingsresponset vurderes langt tidligere i behandlingsforløbet. Brugen af KM vil derfor formodentlig kunne bidrage til at gøre osteoporosebehandlingen mere effektiv. Man har ikke i nogen studier undersøgt, om monitorering af bisfosfonatbehandling med BMD eller KM nedsætter frakturrisikoen blandt osteoporosepatienter, og om monitoreringen i givet fald er omkostningseffektiv. Indtil studier heraf foreligger, bør det tilstræbes, at klinikernes kendskab til brugen af KM øges, og at analyserne bliver bredere tilgængelige i Danmark.

Korrespondance: Michael Schønemann Rand. E-mail:

michael.schoenemann.rand@regionh.dk

Antaget: 2. maj 2018

Publiceret på Ugeskriftet.dk: 6. august 2018

Interessekonflikter: Forfatternes ICMJE-formularer er tilgængelige sammen med artiklen på Ugeskriftet.dk


*) Delt førsteforfatterskab

Summary

Monitoring anti-osteoporotic therapy: bone mineral density or markers of bone turnover

This review discusses two methods of monitoring the effect of anti-osteoporotic treatment: bone mineral density (BMD) and bone turnover markers (BTMs). Both monitoring strategies are to some extent able to predict the treatment-induced change in risk of fracture. The use of BMD is commonplace, and clinicians are experienced in the interpretation of data. The use and knowledge of BTMs among clinicians is limited, but it allows for early testing while being practical and cheap. Further knowledge and implementation of BTMs in the clinical practice may improve the monitoring capabilities.

Referencer

Litteratur

  1. Hernlund E, Svedbom A, Ivergård M et al. Osteoporosis in the European Union: medical management, epidemiology and economic burden. Arch Osteoporos 2013;8:136.

  2. Bell KJL, Glasziou PP, Hayen A et al. Criteria for monitoring tests were described: validity, responsiveness, detectability of long-term change, and practicality. J Clin Epidemiol 2014;67:152-9.

  3. Vasikaran S, Eastell R, Bruyère O et al. Markers of bone turnover for the prediction of fracture risk and monitoring of osteoporosis treatment: a need for international reference standards. Osteoporos Int 2011;22:
    391-420.

  4. Wasnich RD, Miller PD. Antifracture efficacy of antiresorptive agents are related to changes in bone density. J Clin Endocrinol Metab 2000;
    85:231-6.

  5. Cummings SR, Karpf DB, Harris F et al. Improvement in spine bone density and reduction in risk of vertebral fractures during treatment with antiresorptive drugs. Am J Med 2002;112:281-9.

  6. Hochberg MC, Greenspan S, Wasnich RD et al. Changes in bone density and turnover explain the reductions in incidence of nonvertebral fractures that occur during treatment with antiresorptive agents.
    J Clin Endocrinol Metab 2002;87:1586-92.

  7. Delmas PD, Seeman E. Changes in bone mineral density explain little of the reduction in vertebral or nonvertebral fracture risk with anti-
    resorptive therapy. Bone 2004;34:599-604.

  8. Delmas P, Li Z, Cooper C. Relationship between changes in bone mineral density and fracture risk reduction with antiresorptive drugs: some issues with meta-analyses. J Bone Miner Res 2003;19:330-7.

  9. Bauer DC, Black DM, Garnero P et al. Change in bone turnover and hip, non-spine, and vertebral fracture in alendronate-treated women: the fracture intervention trial. J Bone Miner Res 2004;19:1250-8.

  10. Jacques RM, Boonen S, Cosman F et al. Relationship of changes in total hip bone mineral density to vertebral and nonvertebral fracture risk in women with postmenopausal osteoporosis treated with once-yearly zoledronic acid 5 mg: The HORIZON-Pivotal Fracture Trial (PFT).
    J Bone Miner Res 2012;27:1627-34.

  11. Hochberg MC, Ross PD, Black D et al. Larger increases in bone mineral density during alendronate therapy are associated with a lower risk of new vertebral fractures in women with postmenopausal osteoporosis. Arthritis Rheum 1999;42:1246-54.

  12. Miller PD, Delmas PD, Huss H et al. Increases in hip and spine bone mineral density are predictive for vertebral antifracture efficacy with ibandronate. Calcif Tissue Int 2010;87:305-13.

  13. Li Z, Meredith MP, Hoseyni MS. A method to assess the proportion of treatment effect explained by a surrogate endpoint. Stat Med 2001;
    20:3175-88.

  14. Watts NB, Cooper C, Lindsay R et al. Relationship between changes in bone mineral density and vertebral fracture risk associated with risedronate: greater increases in bone mineral density do not relate to greater decreases in fracture risk. J Clin Densitom 2004;7:255-61.

  15. Sebba AI, Emkey RD, Kohles JD et al. Ibandronate dose response is associated with increases in bone mineral density and reductions in clinical fractures: results of a meta-analysis. Bone 2009;44:423-7.

  16. Watts NB, Geusens P, Barton IP et al. Relationship between changes in BMD and nonvertebral fracture incidence associated with risedronate: reduction in risk of nonvertebral fracture is not related to change in BMD. J Bone Miner Res 2005;20:2097-04.

  17. Eastell R, Vrijens B, Cahall DL, et al. Bone turnover markers and bone mineral density response with risedronate therapy: relationship with fracture risk and patient adherence. J Bone Miner Res 2011;26:1662-9.

  18. Eastell R, Barton I, Hannon R et al. Relationship of early changes in bone resorption to the reduction in fracture risk with risedronate.
    J Bone Miner Res 2003;18:1051-6.

  19. El Maghraoui A, Roux C. DXA scanning in clinical practice. QJM 2008;
    101:605-17.

  20. Kolta S, Ravaud P, Fechtenbaum J et al. Follow-up of individual patients on two DXA scanners of the same manufacturer. Osteoporos Int 2000;11:709-13.

  21. Lodder MC, Lems WF, Ader HJ et al. Reproducibility of bone mineral density measurement in daily practice. Ann Rheum Dis 2004;63:
    285-9.

  22. El Maghraoui A, Do Santos Zounon AA, Jroundi I et al. Reproducibility of bone mineral density measurements using dual X-ray absorptiometry in daily clinical practice. Osteoporos Int 2005;16:1742-8.

  23. Black DM, Delmas PD, Eastell R et al. Once-yearly zoledronic acid for treatment of postmenopausal osteoporosis. N Engl J Med 2007;356:
    1809-22.

  24. Deal CL. Using bone densitometry to monitor therapy in treating osteoporosis: pros and cons. Curr Rheumatol Rep 2001;3:233-9.

  25. Hou Y, Gu K, Xu C et al. Dose-effectiveness relationships determining the efficacy of ibandronate for management of osteoporosis: a meta-analysis. Medicine 2015;94:e1007.

  26. Paggiosi MA, Peel N, McCloskey E et al. Comparison of the effects of three oral bisphosphonate therapies on the peripheral skeleton in postmenopausal osteoporosis: the TRIO study. Osteoporos Int 2014;
    25:2729-41.

  27. Eastell R, Szulc P. Use of bone turnover markers in postmenopausal osteoporosis. Lancet Diabetes Endocrinol 2017;5:908-23.

  28. Naylor KE, Jacques RM, Paggiosi M et al. Response of bone turnover markers to three oral bisphosphonate therapies in postmenopausal osteoporosis: the TRIO study. Osteoporos Int 2016;27:21-31.

  29. Kothawala P, Badamgarav E, Ryu S et al. Systematic review and meta-analysis of real-world adherence to drug therapy for osteoporosis. Mayo Clin Proc 2007;82:1493-501.

  30. Diez-Perez A, Naylor KE, Abrahamsen B et al, International Osteoporosis Foundation and European Calcified Tissue Society Working Group. Recommendations for the screening of adherence to oral bisphosphonates. Osteoporos Int 2017;28:767-74.