Levercirrose


Flemming Bendtsen1, Fin Stolze Larsen2, Peter Ott3 & Hendrik Vilstrup3
Komplikationer i forbindelse med kronisk leversygdom i form af levercirrose er den ottendehyppigste dødsårsag på verdensplan og fører også i Danmark
til hyppig kontakt til sundhedsvæsenet. Alle klinisk arbejdende læger kommer således ud for at skulle træffe alvorlige og vanskelige beslutninger i disse sygdomsforløb. Det er vi godt rustede til i Danmark pga. vores betydelige videnskabelige indsats vedrørende cirrose.
DIAGNOSE
Cirrose er en klinisk diagnose, der ofte er baseret på karakteristiske manifestationer som spider-naevi, hepatomegali, ascites, dårlig muskelfylde, dårlig almentilstand samt nedsatte koagulationsfaktorer og
P-albumin. Ved UL-skanning er de validerede diagnostiske fund puklet leveroverflade og portosystemiske shunter samt splenomegali. Selv om fundene er observatørafhængige, giver kombinationen af kliniske fund og UL-fund en diagnostisk sikkerhed på tæt ved 90%. Diagnosen kan bekræftes ved leverbiopsi med fund af fibrose og regenerationsknuder, som er patognomoniske læsioner, og leverbiopsi er fortsat guldstandarden. Elastografi, hvormed man kan påvise øget stivhed i levervævet, anvendes i stigende grad ved screening for cirrose ved kronisk hepatitis. Mere avancerede billedteknikker bidrager sjældent til diagnosen.
ÆTIOLOGI
Cirrosediagnosen skal suppleres med en ætiologisk diagnose. I Danmark er alkohol den primære ætiologi i 60% af tilfældene [1] og koætiologi i mange af de øvrige tilfælde. Der er ikke positive diagnostiske kriterier, så der kræves bekræftet vanemæssigt alkoholforbrug over to genstande dagligt for kvinder og tre genstande dagligt for mænd, og de fleste har et betydeligt større forbrug. Næsthyppigst er uklassificeret cirrose, som ofte er associeret med det metaboliske syndrom og antagelig er et resultat af fedtleversygdom, heraf betegnelsen »fedtcirrose«, selvom den cirrotiske lever kan være uden fedt. Ved de autoimmune cirroseformer (autoimmun hepatitis, primær biliær cirrose og primær skleroserende kolangitis) er der karakteristiske biokemiske forandringer og autoantistoffer. Ved de virale posthepatitiske cirroser er der diagnostiske serologiske fund. Diagnostik af de sjældne genetisk betingede cirroser (hæmokromatose, alfa-1-antitrypsinmangel og Wilsons sygdom)
er baseret på blod- og urinprøver samt genetisk testning. Den ætiologiske diagnose er vigtig for at vurdere prognosen og for overvejelser vedrørende kausal behandling.
EPIDEMIOLOGI
Prævalensen i Danmark er ca. 12.000 tilfælde, incidensen ca. 2.000 og medianlevetiden efter diagnosetidspunktet er 4-6 år, afhængigt af ætiologien [1]. Levetiden lader til at være stigende som resultat af målrettet terapeutisk indsats mod komplikationerne, så både sygdommens prævalens og dens belastning af sundhedsvæsenet er stigende.
FORLØB
Cirrose er et syndrom, der beståt af kompromitteret metabolisk funktion og portal hypertension. Forløbet er præget af udvikling af komplikationer, hvoraf de klassiske er ascites, øsofagusvariceblødninger og hepatisk encefalopati. Ofte medregnes hepatisk malnutrition og immuninkompetence. Hvis der tilstøder ikterus, kan det markere overgang i »akut-i-kronisk leversvigt«, altså hurtig forringelse af tilstanden pga. en udløsende faktor, oftest infektion. Cirrose er en stærk risikofaktor for kræft, specielt hepatocellulært karcinom [2]. Udviklingen af komplikationer følger ikke et forudsigeligt stadieforløb, men optræder i statistisk forstand tilfældigt. 60% har ascites som debutsymptom. En tredjedel får under deres forløb ikke andre komplikationer, end de havde ved diagnosen [3]. Risikoen for en given komplikation kan ikke forudsiges ud fra andre komplikationer, men hyponatriæmi (som altid er af fortyndingstype) er en risikofaktor for, at der udvikles ascites, nedsat metabolisk leverfunktion for at der udvikles encefalopati, og fortsat alkoholforbrug for at der optræder øsofagusvariceblødning [4].
BEHANDLING
Kausal behandling
Den kausale behandling afhænger af den ætiologiske diagnose. Specielt ved alkoholisk cirrose er alkoholafholdenhed af afgørende positiv betydning for prognosen, uagtet om der er få eller flere komplikationer.
Til de autoimmune, virale og genetiske cirroseformer findes der kausal behandling af sygdomsmekanismen, hvilket forbedrer prognosen. Der findes ikke behandling af »fedtcirrose«.
Levertransplantation skal overvejes hos alle patienter, hvor andre behandlinger ikke er effektive, og hvor kræft, svækkelse af andre organsystemer eller manglende komplians ikke er kontraindikation.
Behandling af komplikationer
Ascites behandles i langt de fleste tilfælde effektivt med diuretika (aldosteronantagonister + loopdiuretika) [5]. Vaptaner (vasopressinreceptor-antagonister) har ingen effekt [6]. I få tilfælde er der brug for gentagen fuldstændig drænage af ascitesvæsken, som altid understøttes med albumininfusion. De sidste resistente tilfælde behandles effektivt med transjugulær intrahepatisk portosystemisk shunt (TIPS), medmindre der er kontraindikationer, specielt hepatisk encefalopati. Spontan bakteriel peritonitis er hyppig ved ascites. Infektionen er ofte symptomfattig, hvorfor alle patienter med ascites bør undersøges med diagnostisk punktur, hvor infektionen er defineret ved neutrofilocyttallet (< 250/mm3) i ascitesvæsken. Infektionen skal umiddelbart behandles med et bredspekret antibiotikum, som nedsætter dødeligheden. Hepatorenalt syndrom optræder med tiden tiltagende hyppigt blandt patienter med ascites [7] og er forbundet med en dårlig prognose [8]. De hurtigtudviklede tilfælde bør behandles med terlipressin og albumin [9]. TIPS kan i udvalgte tilfælde overvejes, mens hæmodialyse og albumindialyse ikke bedrer prognosen. Den primære profylakse mod øsofagusvariceblødning er nonselektiv betablokade med propranolol, som sættes ind, hvis der endoskopisk er påvist tydelige varicer. Behandlingen skal kun opretholdes, hvis levervenekateterisation udført under pause med blokaden viser en blodtryksgradient over leveren på over 12 mmHg [10], og hvis en anden levervenekateterisation viser, at trykket falder under behandlingen. Ca. halvdelen responderer ikke hæmodynamisk på betablokaden, men effekten lader til at være bedre, desto højere perfusionstrykket er. Blokadens effekt på pulsen forudsiger ikke den ønskede effekt. Behandlingen halverer statistisk risikoen for første variceblødning. Muligvis er kombineret alfa-beta-blokade med carvedilol mere effektivt og forbundet med færre bivirkninger [11]. Øsofagusvariceblødning behandles akut med terlipressin og antibiotika, og der udføres snarest muligt endoskopi med banding. Hvis der ikke opnås hæmostase, bør TIPS overvejes. Sengstakensonde eller anlæggelse af ekspanderende øsofagusstent kan anvendes som bro til TIPS. Efter den første blødningsepisode er den sekundære profylakse nonselektiv betablokade i kombination med gentagen endoskopisk ligering, indtil varicerne er væk. Recidiverende blødninger kan forebygges med TIPS, som er livsforlængende. Hepatisk encefalopati behandles ud fra antagelsen om ammoniak som first hit [12], i den akutte fase med laktulose samt opsporing og behandling af udløsende faktorer. Recidivprofylakse er laktulose, og hvis dette svigter, tillægges rifaximin eller tilskud med forgrenede aminosyrer [13]. Et særligt problem, som forringer livskvaliteten hos patienter med cirrose, er den meget hyppige »minimale« hepatiske encefalopati, som opdages ved måling af reaktionstider [14], og som behandles effektivt med laktulose. Det har ikke prognostisk værdi at screene patienter med alkoholætiologi for primær leverkræft [15]. Hepatisk malnutrition og muskelsvækkelse er hyppig [16] og skal behandles med moderat hyperalimentation, hvilket bedrer prognosen med hensyn til komplikationer, inkl. encefalopati, og livsvarighed. Anvendelsen af albumindialyse hos patienter med hepatisk encefalopati er fortsat ikke fastlagt [17], men bør overvejes hos patienter med »akut-i-kronisk«
leversvigt [18].
Behandling af komorbide sygdomme
Halvdelen af patienterne har én eller flere komorbide sygdomme, som forringer prognosen både mht. leverrelateret og ikkeleverrelateret dødelighed [19]. Dødeligheden af komorbide sygdomme stiger med tid efter cirrosediagnosen [1], således at behandlingsindsatsen tiltagende skal rettes mod kardiovaskulære sygdomme, kræft og infektioner.
PROGNOSE
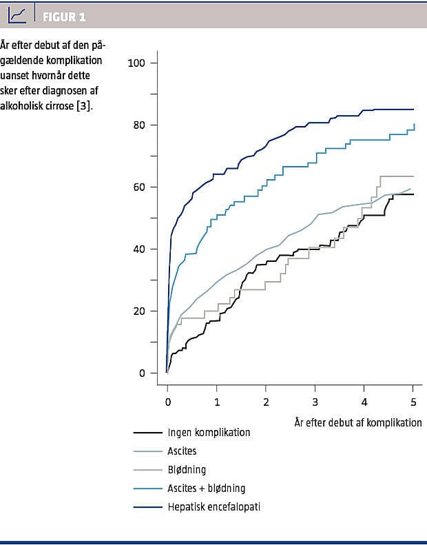
Cirrose er en alvorlig sygdom, hvis prognose er ringere end de fleste kræftsygdommes [1]. Prognosen afhænger bl.a. af den ætiologiske diagnose. Alkoholisk cirrose og »fedtcirrose« er forbundet med en medianlevetid på ca. fire år, for de andre cirroseformer er overlevelsestiden længere. Specielt i det første år efter diagnosen er dødeligheden høj, hyppigst pga. leverrelaterede problemer. Også under langvarig opfølgning er der overdødelighed, da i tiltagende grad pga. infektioner, kardiovaskulære sygdomme og kræft [1]. Prognosen er i øvrigt afhængig af komplikationerne (Figur 1): Hvis retningslinjerne for behandling efterleves [20], og den første øsofagusvariceblødning overleves, er prognosen ikke forringet [3, 21]. Noget tilsvarende gælder for ascites. Samtidig ascites og variceblødning forringer prognosen mærkbart, og klinisk erkendelig encefalopati er forbundet med særdeles ringe overlevelse [3]. Patienternes status bør beskrives ved etablerede scoresystemer: Child-Pugh, som er en enkel sum, der kan beregnes i hovedet, af graden af encefalopati, ascites, lave koagulationsfaktorer, lav albuminkoncentration og høj bilirubinkoncentration; og Model for End Stage Liver Disease, som er en pragmatisk score, som er beregnet ud fra en formel, hvori der indgår værdier for bilirubinkoncentration, koagulationsfaktorer, kreatinin- og natriumkoncentration. Begge scorer er relateret til prognosen. Som beskrevet er det et gennemgående træk, at prognosen forbedres med behandling, således at prævalensen af cirrosesygdommene er stigende, og populationen af cirrosepatienter er karakteriseret ved hyppige hospitalskontakter, hyppige behandlinger og hyppige procedurer.
KONKLUSION
Cirrose er en klinisk udfordring pga. sygdommens forskelligartede ætiologi, fænomenologi og kliniske forløb, samt de høje krav til de ansvarlige kliniske afdelinger om både hurtig, målrettet og kvalificeret indsats mod de akutte problemer samt fastholdt opmærksomhed på de senere problemer pga. associerede sygdomme og komorbiditet. Leverrelateret mortalitet og morbiditet er et stigende problem i de lande, hvor det er opgjort systematisk, til forskel fra den faldende mortalitetsrate af næsten alle andre sygdomsgrupper over de sidste 30 år. Dansk hepatologisk forskning er på mange områder i den internationale frontlinje og bidrager både til patogenetisk og -fysiologisk forståelse og til at fastlægge evidensen for behandlingen af cirrose og dens komplikationer. Nylige eksempler er, at dansk forskning er afgørende i udredningen af mekanismerne for kredsløbsforstyrrelser ved cirrose [22], har påvist de hepatiske makrofagers (Kupffers cellernes) primære rolle ved
portal hypertension [23] og har afklaret klassiske spørgsmål om dynamikken for hjernens optagelse af ammoniak [12]. Mht. behandling kan nævnes, at dansk forskning er central for anvendelsen af »liver assist« [17], farmakologisk behandling af portal hypertension [10], anvendelsen af aquaretika mod ascites [6] og af forgrenede aminosyrer mod hepatisk encefalopati [13].
Korrespondance: Hendrik Vilstrup, Medicinsk Afdeling V, Aarhus Universitetshospital, Nørrebrogade 44, 8000 Aarhus C. E-mail: hendrik.vilstrup@aarhus.rm.dk
Antaget: 23. april 2013
Publiceret på Ugeskriftet.dk: 22. juli 2013
Interessekonflikter:
Cirrhosis of the liver is a frequent and dangerous disease that causes numerous clinical contacts due to its complications. Competent and fast clinical decisions are often necessary in the acute setting and a broad clinical approach for the long-term problems due to the co-morbidity. Danish research in the pathophysiology and treatment of cirrhosis is of high international standard and forms a qualified basis for rational clinical handling of the patients with cirrhosis.
Litteratur
Sørensen HT, Thulstrup AM, Mellemkjær L et al. Long-term survival and cause-specific mortality in patients with cirrhosis of the liver: a nationwide cohort study in Denmark. J Clin Epid 2003;56:88-93.
Sørensen HT, Friis S, Olsen JH et al. Risk of liver and other types of cancer in patients with cirrhosis: a nationwide cohort study in Denmark. Hepatology 1998;28:921-5.
Jepsen P, Ott P, Andersen PK et al. Clinical course of alcoholic liver cirrhosis:
a Danish population-based cohort study. Hepatology 2010;51:1675-82.
Jepsen P, Ott P, Anderen PK et al. The clinical course of alcoholic cirrhosis: effects of hepatic metabolic capacity, alcohol consumption, and hyponatremia. BMC Res Notes 2012;5:509-15.
Møller S, Henriksen JH, Bendtsen F. Ascites: pathogenesis and therapeutic principles. Scand J Gastroenterol 2009;44:902-11.
Wong F, Watson H, Gerbes A et al. Satavaptan for the management of ascites in cirrhosis. GUT 2012;61:108-16.
Krag A, Bendtsen F, Henriksen JH et al. Low cardiac index predicts renal failure and survival in patients with cirrhosis and ascites. GUT 2010;59:105-10.
Krag A, Møller S, Bjerregaard-Pedersen E et al -. Impaired free water excretion in Child C cirrhosis and ascites: relations to distal tubular fuction and the
vasopressin system. Liver International 2010;30:1364-70.
Krag A, Møller S, Henriksen JH et al. Terlipressin improves renal function in patients with cirrhosis and ascites without hepatorenal syndrome. Hepatology 2007;46:1863-71.
Hobolth L, Bendtsen F, Møller S. Indications for portal pressure measurement in chronic liver disease. Scand J Gastroenterol 2012;9:887-92.
Hobolth L, Møller S, Grønbæk H et al. Carvedilol or propranolol in portal hypertension? Scand J Gastroenterol 2012;47:467-74.
Sørensen M, Keiding S, Bender D et al. Brain metabolism of 13N-ammonia during acute hepatic encephalopathy in cirrhosis measured by positron emission tomography. Hepatology 2006;43:42-50.
Gluud LL, Dam G, Borre M et al. Oral branched amino acids for chronic hepatic encephalopathy: systematic review of randomized clinical trials. J Nutrition 2013;143:1263-8.
Lauridsen MM, Thiele M, Kimer N et al. The continuous reaction times method for diagnosing, grading, and monitoring minimal/covert hepatic encephalopathy. Metab Brain Dis 2013;28:231-4.
Jepsen P, Ott P, Andersen PK et al. Risk of hepatocellular carcinoma in patients with alcoholic cirrhosis – a Danish nationwide cohort study. Ann Int Med 2012;156:841-8.
Andersen H, Borre M, Andersen PH et al. Decreased muscle strength in patients with alcoholic liver cirrhosis in relation to nutritional status, alcohol abstinence, liver function and neuropathy. Hepatology 1998;27:1200-06.
Hassanein TI, Tofteng F, Brown RS Jr et al. Randomized controlled study of extraorporeal albumin dialysis for hepatic encephalopathy in advanced cirrhosis. Hepatology 2007;46:1853-62.
Bañares R, Nevens F, Larsen FS et al. Extracorporeal albumin dialysis with the molecular adsorbent recirculating system in acute-on-chronic liver failure: The RELIEF trial. Hepatology 2013;57:1153-62.
Jepsen P, Vilstrup H, Andersen PK et al. Comorbidity and survival of Danish cirrhosis patients – a nationwide population-based cohort study. Hepatology 2008;48:214-20.
Hobolth L, Krag A, Malchow-Møller A et al. Adherence to guidelines in bleeding oesophageal varices and the effect on outcome: comparison between a specialized unit and a community hospital. Eur J Gastroenterol 2010;22:1221-7.
Hobolth L, Krag A, Bendtsen F. The recent reduction in mortality from bleeding oesophageal varices is primarily observed from day 1 to 5. Liver Int 2009;30:455-62.
Møller S, Hobolth L, Winkler C et al. Determinants of the hyperdynamic circulation and central hypovolaemia in cirrhosis. Gut 2011;60:1254-9.
Holland-Fischer P, Grønbæk H, Sandahl TD et al. Kupffer cells are activated in cirrhotic portal hypertension and not normalised by TIPS. GUT 2011;60:1389-93.