Skip to main content

SGLT2-hæmning til kronisk nyresygdom uden ledsagende diabetes eller hjertesvigt

Bo Feldt-Rasmussen1, 2*, Rikke Borg2, 3*, Jan Carstens4*, Ditte Hansen2, 5*, Mads Hornum1, 2*, Morten Lindhardt6*, Frank Holden Mose7*, Birgitte Bang Pedersen8*, Johan Vestergaard Poulsen9*, Kristine Dyhr Schandorff10* & Charlotte Strandhave8*

18. apr. 2022
13 min.

Kronisk nyresygdom (CKD) er et betydeligt sundhedsproblem forbundet med nedsat livskvalitet, øget risiko for kardiovaskulær sygdom og nedsat forventet levetid [1]. Behandlingsmuligheder, ud over de sygdomsspecifikke til f.eks. systemsygdomme eller glomerulonefritis, er sparsomme. Hidtil har behandling for at bremse fald i nyrefunktionen væsentligst været baseret på blodtrykssænkende behandling, inklusive behandling med angiotensinkonverterende enzym-hæmmere og angiotensinreceptorblokkere. Størstedelen af evidensen er genereret hos personer med diabetisk nyresygdom [1-4].

Fakta

Hovedbudskaber

Derfor er de betydende kliniske effekter af behandling med sodium-glucose co-transporter 2 inhibitors (SGLT2i) hos personer med nedsat nyrefunktion og proteinuri meget interessante.

Det afgørende studie bag anbefalingen af SGLT2i-behandling af personer med CKD uden diabetes er DAPA-CKD-studiet [5]. Det har vist betydende klinisk effekt med reduceret risiko for henholdsvis kardiovaskulær sygdom og død, hospitalisering for hjertesvigt, forværring af nyrefunktion og udvikling af svær nyresygdom.

Disse data understøttes af to andre studier, der adresserer personer med hjertesvigt, men som viser klinisk betydende virkninger på en subpopulation af personer med CKD uden diabetes [6, 7].

Baggrund og anvendelse

SGLT2i-præparater blev udviklet til behandling af hyperglykæmi ved type 2-diabetes (T2D) ved selektivt at blokere SGLT2-kotransportøren i nyrerne og inducere glukosuri.

Store randomiserede kardiovaskulære outcome-studier med anvendelse af SGLT2i-behandling har siden 2015 vist, at behandling med disse præparater (empa- [8, 9], cana- [10, 11] og dapagliflozin [12, 13]) reducerer risikoen for kardiovaskulær sygdom, mortalitet og nyrepåvirkning hos personer med T2D med forskellige grader af kardiovaskulære risici, ud over hvad man kunne forvente af den moderate effekt på glykæmisk kontrol.

Præparaterne blev oprindeligt anbefalet udelukkende til personer med relativt bevaret nyrefunktion, da effekten på plasmaglukose/HbA1c aftager med faldende nyrefunktion. Det er senere vist, at SGLT2i-behandling reducerer blodtryk, kropsvægt og urinalbuminudskillelse også hos personer med nedsat nyrefunktion [14] uafhængigt af plasmaglukoseniveau. I tråd med dette afslørede sekundære analyser af de store kardiovaskulære SGLT2i-studier EMPA-REG [8, 9], CANVAS [10, 15] og DECLARE [16, 17] et signifikant nyrebeskyttende potentiale uafhængigt af glukosereduktion.

De væsentligste studier er resumeret i Tabel 1. CREDENCE-studiet [18] var det første, der undersøgte SGLT2i-behandling i en T2D-population med CKD med en estimeret glomerulær filtrationsrate (eGFR) på 30-90 ml/min/1,73 m2, en urinalbumin-/kreatininratio (UACR) på 300-5.000 mg/g ved baseline og med et primært endepunkt fokuseret på progression af nyresygdom. Studiet viste en 30% risikoreduktion i det primære sammensatte endepunkt (terminalt nyresvigt, fordobling af p-kreatininniveau eller død af nyre- eller kardiovaskulær årsag). Hos de 174 deltagere med eGFR < 30 ml/min/1,73 m2 ved baseline havde behandlingen samme effekt og sikkerhedsprofil som i den øvrige population [20].

I DAPA-HF-studiet sås effekt på det primære endepunkt (forværring af hjertesvigt eller kardiovaskulær død) uafhængigt af tilstedeværelse af T2D [6], og en analyse af hastighed i eGFR-fald viste gavnlig effekt af SGLT2i også hos deltagere uden diabetes ved baseline [21].
Det blev bekræftet i hjertesvigtstudiet EMPEROR-Reduced, også hos deltagere med nedsat nyrefunktion [7].

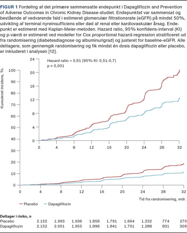
Senest har nyrestudiet DAPA-CKD med 4.304 deltagere med proteinurisk CKD (eGFR: 25-75 ml/min/1,73 m2 og UACR: 200-5.000 mg/g) vist gavnlig effekt af SGLT2i på progression af nyrefunktion både hos deltagere med og uden diabetes [12]. Der var effekt på 32% af deltagerne, som havde ikkediabetisk nyresygdom, med en 50% risikoreduktion, både på det kombinerede primære og de sekundære endepunkter (Figur 1). Fald i eGFR mellem baseline og 30 mdr. var lavere i behandlingsgruppen med en forskel mellem grupperne på 0,96 ml/min/1,73 m2 pr. år (95% konfidens-interval (KI): 0,61-1,25). Efter korrektion for det initiale fald i eGFR i behandlingsgruppen øgedes forskellen til 1,92 ml/min/1,73 m2 pr. år (95% KI: 1,61-2,24). Især hos de 270 deltagere med IgA-nefropati sås en bemærkelsesværdig risikoreduktion på 71% for det primære endepunkt i forhold til placebo [13].

Virkningsmekanisme

Der er en del teorier om virkningen bag de kliniske resultater af hæmning af SGLT2-kanalerne. Litteraturreferencer til dette afsnit kan ses i behandlingsvejledningen på Dansk Nefrologisk Selskabs (DNS) hjemmeside. Når hyperglykæmi hos diabetikere medfører øget renal filtration af glukose, varetages op mod 90% af reabsorptionen af glukose – og medfølgende natrium – fra proksimale nyretubuli af SGLT2-kotransportørerne. Denne øgede koreabsorption af natrium medfører via tubuloglomerulære feedbackmekanismer en stigning i renalt blodflow, forøget intraglomerulært tryk og en hyperfiltrationstilstand, som over tid menes at føre til inflammation og arvævsdannelse i nyrevævet. Hæmning af SGLT2 menes at modvirke denne hyperfiltration ved at reducere det renale blodflow, formentlig på grund af afferent arteriolær vasokonstriktion.

De betydelige kliniske effekter kan kun i ringe grad forklares ved natriumudskillelse og den beskedne blodtrykssænkende og blodglukoseregulerende effekt. I andre eksperimentelle mekanistiske studier viser SGLT2-hæmning forskellige grader af gunstige effekter på endotelfunktion, karstivhed, renale tubulære funktioner, renin-angiotensin-systemet (RAS) samt de natriuretiske peptider og inflammatoriske og oxidative reaktioner.

Øvrige virkninger/bivirkninger

Hypoglykæmi

I DAPA-CKD-studiet blev der ikke observeret øget forekomst af hypoglykæmi [12]. Dette kan bl.a. skyldes øget leversyntese og reduceret glomerulær filtration af glukose som kompensation for det tab i urinen, som SGLT2-inhibition forårsager [22]. Der er således ikke behov for måling af plasmaglukose, medmindre der er klinisk indikation.

Diabetisk ketoacidose

I flere studier af SGLT2i til personer med diabetisk nyresygdom er der observeret en lille, men øget risiko for diabetisk ketoacidose [9, 10, 17, 23, 24]. Dette er ikke set i studierne med personer uden diabetes [12, 13].

Hydrering

På grund af øget natriumudskillelse har SGLT2i-behandling en vanddrivende effekt, som teoretisk kan medføre volumendepletering og dehydrering [11, 25]. Særlig opmærksomhed bør tilfalde skrøbelige ældre personer og personer i samtidig behandling med diuretika [26]. Volumenstatus kan monitoreres med blodtryksmåling og vægt, og patienter bør informeres om symptomer på dehydrering [27].

Nyrepåvirkning

Under de første ugers behandling ses ofte en stigning i p-kreatininniveauet på linje med, hvad der ses ved hæmning af RAS. Det bør ikke foranledige behandlingsophør [27]. Det er velbeskrevet, at opstart af SGLT2i inducerer et fald i eGFR (2-6 ml/min/1,73 m2) efter 2-3 uger, og at dette fald persisterer i 6-12 mdr., før den positive langtidseffekt på progressionshastigheden af CKD indtræder [9, 10, 28]. Faldet er i flere studier set fuldt reversibelt efter ophør med behandlingen [29]. Der er ikke påvist øget risiko for akut nyreinsufficiens.

Et canadisk review anbefaler ligesom vi at kontrollere p-kreatininniveau/ eGFR efter 3-4 uger. Et fald på 20-25% i eGFR bør medføre tæt kontrol, og opstår der eGFR-fald > 30%, anbefales behandlingspause [27].

Infektioner

En bivirkning også hos patienter med ikkediabetisk CKD er genitale svampeinfektioner [15, 28, 30]. Derfor skal patienter opfordres til god genital hygiejne under behandling med SGLT2i. Der er ikke observeret øget risiko for urinvejsinfektioner eller urosepsis.

Præparatvalg

Dapagliflozin, empagliflozin, canagliflozin og ertugliflozin er markedsførte i Danmark, og alle har generelt tilskud. Alle fire præparater er selektive SGLT2i med sammenlignelige farmakokinetiske og farmakodynamiske egenskaber, selvom eliminationsvejene er forskellige. Der er ingen direkte head-to-head sammenligninger mellem de fire præparater.

Den antiglykæmiske effekt er sammenlignelig for alle præparater, hvilket også gælder for risiko for komplikationer i form af diabetisk ketoacidose, hypoglykæmi, volumendepletering, blodtryksfald, akut nyresvigt, genitale svampeinfektioner og urinvejsinfektioner. Effekterne af SGLT2i på kardiovaskulære og renale endepunkter i de eksisterende studier inklusive metaanalyser er bemærkelsesværdigt ensartede og tilsyneladende uafhængige af tilstedeværelse af T2D.

Dapagliflozin er netop godkendt til behandling af CKD. Det er første gang, denne indikation er givet til et medikament.

Anbefalinger fra Dansk Nefrologisk Selskab

På baggrund af de nye studier nedsatte DNS en arbejdsgruppe til at udarbejde en fælles retningslinje for behandling af personer med CKD uden diabetes. Retningslinjen, som er skrevet af denne artikels forfattere fra alle danske regioner, kan findes på DNS’ hjemmeside.

I pro.medicin.dk anbefaler myndighederne behandlingen til patienter med CKD uanset den grundlæggende nyresygdom. Udvalget har valgt at begrænse anbefaling til de personer med CKD, der opfylder de in- og eksklusionskriterier, der blev anvendt i de afgørende kliniske studier, dvs. personer ≥ 18 år med CKD og en eGFR på 25-75 ml/min/1,73 m2 samt albuminuri svarende til UACR på 200-5.000 mg/g, som er i maksimal tolereret RAS-blokade.

Anbefalingen er mere snæver end den godkendte indikation, fordi udvalget mener, at den forventeligt meget store udbredelse af behandlingen skal indledes med at være evidensbaseret på højt niveau. Flere større kliniske studier er i gang, og vejledningen vil blive revideret i takt med, at resultaterne herfra bliver kendte. Desuden kan SGLT2i tilbydes personer med CKD, en eGFR på 20-90 ml/min/1,73 m2 og hjertesvigt (ejektionsfraktion < 40%).

Baseret på tilgængelig evidens samt Det Europæiske Lægemiddelagenturs nylige godkendelse af dapagliflozin anbefales dapagliflozin primært til behandling af CKD, mens dapagliflozin og empaliflozin anbefales ligeværdigt til personer med hjertesvigt og CKD.

Konventionel progressionshæmmende behandling med RAS-blokade bør være opstartet/optitreret minimum fire uger før tillæg af SGLT2i, da SGLT2i uden RAS-blokade ikke er undersøgt. Hvis patienten ikke tåler RAS-blokade, kan man opstarte SGLT2i [6, 7].

Behandling af blodtryk bør håndteres efter vanlige retningslinjer med konventionelle antihypertensiva inklusive diuretika til de anbefalede behandlingsmål. Behandlingsmål for blodtryk skal ikke nødvendigvis være opfyldt ved opstart af SGLT2i. SGLT2i-behandling har hos personer med T2D og eGFR ned til 30 ml/min/1,73 m2 en blodtrykssænkende effekt på 2-4 mmHg, og data afventes, om hvorvidt dette også gør sig gældende hos personer med CKD uden diabetes.

Effekten af SGLT2i på kliniske hårde endepunkter er ikke undersøgt hos en række grupper af personer med nyresygdom. Aktuelt anbefaler DNS derfor ikke behandlingen ved følgende sygdomme: arvelig polycystisk nyresygdom, lupus nefritis, antineutrofilocyt-cytoplasmatisk antistof-vaskulitis, personer i immunsuppressiv behandling (inden for 6 mdr.) og nyretransplanterede personer. Kontraindikationer herudover er leverpåvirkning [12] (alaninaminotransferaseniveau > 3 × øvre normalgrænse eller bilirubinniveau > 2 × øvre normalgrænse) samt graviditet og amning.

Det anbefales at opretholde behandling med SGLT2i i renoprotektivt øjemed, indtil personen enten når dialysestadiet eller bliver nyretransplanteret. Behandlingen tåles godt helt ned til eGFR < 15 ml/min/1,73 m2 hos både personer med diabetisk [15, 30] og ikkediabetisk nyresygdom [12].

Der anbefales midlertidigt ophør med SGLT2i-behandling forud for større kirurgi eller ved akut alvorlig sygdom, hvor der kan være risiko for dehydrering og hypovolæmi. Ved planlagt kirurgi anbefales pause mindst to dage forud for operation. Ved mindre, elektiv kirurgi anbefales pause på dagen for indgrebet [25].

Vejledningen vil løbende blive revideret og vil kunne ses på DNS’ hjemmeside, hvor der også findes andre værktøjer og vejledninger for behandling af CKD.



Korrespondance Rikke Borg. E-mail: rbor@regionsjaelland.dk
Antaget 28. januar 2022
Publiceret på ugeskriftet.dk 18. april 2022
Interessekonflikter Der er anført potentielle interessekonflikter. Forfatternes ICMJE-formularer er tilgængelige sammen med artiklen på ugeskriftet.dk
Referencer findes i artiklen publiceret på ugeskriftet.dk
Artikelreference Ugeskr Læger 2022;184:V11210887
*) En tværregional arbejdsgruppe nedsat af Dansk Nefrologisk Selskab

Summary

SGLT2 inhibitors for treatment of chronic kidney disease without diabetes or heart failure

Bo Feldt-Rasmussen, Rikke Borg, Jan Carstens, Ditte Hansen, Mads Hornum, Morten Lindhardt, Frank Holden Mose, Birgitte Bang Pedersen, Johan Vestergaard Poulsen, Kristine Dyhr Schandorff & Charlotte Strandhave

Ugeskr Læger 2022;184:V11210887

The sodium-glucose co-transporter 2 inhibitors (SGLT2i) have been introduced for treatment of Type 2 diabetes (T2D). Among 4,304 included patients with chronic kidney disease (CKD), the DAPA-CKD study included 1,398 patients without T2D. The risk of a composite of a sustained decline in estimated glomerular filtration rate of at least 50%, end-stage kidney disease, or death from renal or cardiovascular causes was reduced by 50% in those without diabetes. We now have an effective new treatment to delay disease progression in many individuals with CKD, which is discussed in this review. A guideline has been published by the Danish Society of Nephrology.

Referencer

Referencer

  1. Go AS, Chertow GM, Fan D et al. Chronic kidney disease and the risks of death, cardiovascular events, and hospitalization. N Engl J Med. 2004;351(13):1296-305. doi:10.1056/nejmoa041031

  2. Ruggenenti P, Perna A, Gherardi G et al. Renoprotective properties of ACE-inhibition in non-diabetic nephropathies with non-nephrotic proteinuria. Lancet. 1999;354(9176):359-64.

  3. Hou FF, Zhang X, Zhang GH et al. Efficacy and safety of benazepril for advanced chronic renal insufficiency. N Engl J Med. 2006;354(2):131140.

  4. Brenner BM, Cooper ME, De Zeeuw D et al. Effects of losartan on renal and cardiovascular outcomes in patients with type 2 diabetes and nephropathy. N Engl J Med. 2001;345(12):861-9.

  5. Heerspink HJL, Stefánsson BV, Correa-Rotter R et al. Dapagliflozin in patients with chronic kidney disease. N Engl J Med. 2020;383(15):1436-1446.

  6. McMurray JJV, Solomon SD, Inzucchi SE et al. Dapagliflozin in patients with heart failure and reduced ejection fraction. N Engl J Med. 2019;381(21):1995-2008.

  7. Anker SD, Butler J, Filippatos G et al. Effect of empagliflozin on cardiovascular and renal outcomes in patients with heart failure by baseline diabetes status: results from the EMPEROR-Reduced Trial. Circulation. 2021;143(4):337-349.

  8. Zinman B, Wanner C, Lachin JM et al. Empagliflozin, cardiovascular outcomes, and mortality in type 2 diabetes. N Engl J Med. 2015;373(22):2117-28.

  9. Wanner C, Inzucchi SE, Lachin JM et al. Empagliflozin and progression of kidney disease in type 2 diabetes. N Engl J Med. 2016;375(4):323334.

  10. Heerspink HJL, Desai M, Jardine M et al. Canagliflozin slows progression of renal function decline independently of glycemic effects. J Am Soc Nephrol. 2017;28(1):368-375.

  11. Neal B, Perkovic V, Mahaffey KW et al. Canagliflozin and cardiovascular and renal events in type 2 diabetes. N Engl J Med. 2017;377(7):644-657.

  12. Heerspink HJL, Stefánsson BV, Correa-Rotter R et al. Dapagliflozin in patients with chronic kidney disease. N Engl J Med. 2020;383(15):1436-1446.

  13. Wheeler DC, Stefánsson BV, Jongs N et al. Effects of dapagliflozin on major adverse kidney and cardiovascular events in patients with diabetic and non-diabetic chronic kidney disease : a prespecified analysis from the DAPA-CKD trial. Lancet Diabetes Endocrinol. 2021;9(1):22-31.

  14. Petrykiv S, Sjöström CD, Greasley PJ et al. Differential effects of dapagliflozin on cardiovascular risk factors at varying degrees of renal function. Clin J Am Soc Nephrol. 2017;12(5):751-759.

  15. Neal B, Perkovic V, Mahaffey KW et al. Canagliflozin and cardiovascular and renal events in type 2 diabetes. N Engl J Med. 2017;377(7):644-657.

  16. Mosenzon O, Wiviott SD, Cahn A et al. Effects of dapagliflozin on development and progression of kidney disease in patients with type 2 diabetes: an analysis from the DECLARE–TIMI 58 randomised trial. Lancet Diabetes Endocrinol. 2019;7(8):606-617.

  17. Wiviott SD, Raz I, Bonaca MP et al. Dapagliflozin and cardiovascular outcomes in type 2 diabetes. N Engl J Med. 2019;380(4):347-357.

  18. Perkovic V, Jardine MJ, Neal B et al. Canagliflozin and renal outcomes in type 2 diabetes and nephropathy. N Engl J Med. 2019;380(24):2295-2306.

  19. McMurray JJV, Solomon SD, Inzucchi SE et al. Dapagliflozin in patients with heart failure and reduced ejection fraction. N Engl J Med. 2019;381(21):1995-2008.

  20. Bakris G, Oshima M, Mahaffey KW et al. Effects of canagliflozin in patients with baseline eGFR <30 ml/min per 1.73 m 2: subgroup analysis of the Randomized CREDENCE Trial. Clin J Am Soc Nephrol. 2020;15(12):1705-1714.

  21. Jhund PS, Solomon SD, Docherty KF et al. Efficacy of dapagliflozin on renal function and outcomes in patients with heart failure with reduced ejection fraction: results of DAPA-HF. Circulation. 2021;143(4):298-309.

  22. Al Jobori H, Daniele G, Adams J et al. Determinants of the increase in ketone concentration during SGLT2 inhibition in NGT, IFG and T2DM patients. Diabetes, Obes Metab. 2017;19(6):809-813.

  23. Zinman B, Lachin JM, Inzucchi SE. Empagliflozin, cardiovascular outcomes, and mortality in type 2 diabetes. N Engl J Med. 2016;374(11):1094.

  24. Jardine MJ, Mahaffey KW, Neal B et al. The Canagliflozin and Renal Endpoints in Diabetes with Established Nephropathy Clinical Evaluation (CREDENCE) Study: rationale, design, and baseline characteristics. Am J Nephrol. 2018;46(6):462-472.

  25. Zoungas S, de Boer IH. SGLT2 inhibitors in diabetic kidney disease. Clin J Am Soc Nephrol. 2021;16(4):631-633.

  26. Menne J, Dumann E, Haller H, Schmidt BMW. Acute kidney injury and adverse renal events in patients receiving SGLT2-inhibitors: a systematic review and meta-analysis. PLoS Med. 2019;16(12);e1002983.

  27. Dubrofsky L, Srivastava A, Cherney DZ. Sodium-glucose cotransporter-2 inhibitors in nephrology practice: a narrative review. Can J Kidney Heal Dis. 2020;7:2054358120935701.

  28. Jardine MJ, Zhou Z, Mahaffey KW et al. Renal, cardiovascular, and safety outcomes of canagliflozin by baseline kidney function: a secondary analysis of the CREDENCE randomized trial. J Am Soc Nephrol. 2020;31(5):1128-1139.

  29. Cherney DZI, Dekkers CCJ, Barbour SJ et al. Effects of the SGLT2 inhibitor dapagliflozin on proteinuria in non-diabetic patients with chronic kidney disease (DIAMOND): a randomised, double-blind, crossover trial. Lancet Diabetes Endocrinol. 2020;8(7):582-593.

  30. Perkovic V, Jardine MJ, Neal B et al. Canagliflozin and renal outcomes in type 2 diabetes and nephropathy. N Engl J Med. 2019;380(24):2295-2306.