Skip to main content

Suicidaladfærd hos børn - en deskriptiv undersøgelse

Vibeke Høg, Torben Isager & Anne Mette Skovgaard

2. nov. 2005
16 min.

Introduktion: Psykiatrisk sygdom og selvmordsforsøg er væsentlige risikofaktorer for selvmord hos unge. I hvilket omfang suicidaladfærd i barnealderen prædikterer senere suicidaladfærd og selvmord er ukendt, og der findes kun få undersøgelser vedrørende suicidaladfærd og psykopatologi hos børn. Formålet med undersøgelsen er at beskrive hyppighed og karakter af suicidaladfærd i en børnepsykiatrisk population og de psykiatriske forhold hos børnene.

Materiale og metoder: Materialet omfatter børn under 15 år i Københavns Amt, der i perioden fra den 1. januar 1998 til den 31. december 2000 blev henvist til en børnepsykiatrisk afdeling bl.a. grundet selvmordsrisiko. Data på børnene blev udtrukket fra afdelingens kliniske database, og journaler på indlagte og ambulant behandlede børn blev gennemgået. Børn, der blev set ved liaisonfunktion, indgår ikke i den deskriptive del af undersøgelsen.

Resultater: Incidensen af henviste børn med suicidaladfærd var på 63/100.000/år. Der blev henvist 126 børn, heraf blev 62 indlagt eller ambulant behandlet på børnepsykiatrisk afdeling. Blandt disse forekom psykiatrisk sygdom hos 97%. De 126 børn udgjorde seks procent af samtlige henviste børn. Dreng/pige-ratioen var 53:73. Aldersmaksimum for pigerne var 13-14 år og for drengene 8-12 år. Psykoser og gennemgribende udviklingsforstyrrelser forekom hos syv børn, alle drenge. Hyppige diagnoser hos drenge var: opmærksomhedsforstyrrelser samt blandede emotionelle og adfærdsmæssige forstyrrelser. Personlighedsforstyrrelser forekom udelukkende hos ældre piger. Den hyppigste form for suicidaladfærd hos pigerne var forgiftning, hos drengene var det fysisk voldsomme, selvskadende handlinger.

Diskussion: Suicidaladfærd fandtes at være associeret med psykopatologi hos størsteparten af de henviste børn. Alvorlige forstyrrelser såsom psykotiske tilstande forekom hos drenge ned til syv år, og personlighedsforstyrrelser fandtes hyppigt hos pigerne. Kønsforskelle i suicidaladfærd, som det er kendt fra undersøgelser af unge og voksne, ser ud til at manifestere sig tidligt i barnealderen. Perspektiver: Der er behov for prospektive studier af relationen mellem psykopatologi og suicidaladfærd i barnealderen og senere suicidaladfærd og selvmord.

Selvmord udgør den tredjehyppigste dødsårsag blandt børn og unge. Der er stigende risiko med alderen, og hos børn under ti år forekommer selvmord ekstremt sjældent (1, 2).

Angivelser af selvmordshyppighed hos børn og unge varierer i udenlandske undersøgelser fra 2,9/100.000/år blandt 10-14-årige engelske børn til 1,6/100.000/år blandt 10-14-årige og 9,5/100.000/år blandt 15-19-årige i USA (3, 4). I Danmark var selvmordsraten i perioden 1990-1998 0,4/ 100.000/år for 10-14-årige og 5,3/100.000/år for 15-19-årige (2).

Drenge har en øget risiko for selvmord i forhold til piger. I en svensk undersøgelse fra 1971 (5) og en amerikansk undersøgelse fra 2001 (4) har man fundet, at antallet af drenge, der begik selvmord, var 3-6 gange større end antallet af piger, der begik selvmord. I en dansk undersøgelse af selvmord hos 10-19-årige i perioden 1970-1985 fandt man, at tre gange så mange drenge som piger døde ved selvmord (1).

Når det drejer sig om selvmordsforsøg hos børn under 15 år fandt man i et hollandsk studie en hyppighed på 4,6/ 100.000/år (6). I en dansk undersøgelse fra 1971 af selvmordsforsøg hos børn, der var henvist til en børnepsykiatrisk afdeling, fandt man, at 7-10% havde forsøgt selvmord (7).

Modsat kønsratioen ved selvmord er der ved suicidalforsøg en overvægt af piger. I flere undersøgelser har man fundet, at pige/dreng-ratioen var 2-3:1, heriblandt i en multicenterundersøgelse fra 2001, der inddrog flere europæiske lande, men ikke Danmark, og i en dansk undersøgelse fra 1975 (6-9).

Selvmord og selvmordsforsøg er tæt forbundet med psykiatrisk sygdom (4, 10). I en nyere dansk registerundersøgelse fandt man, at psykiatrisk lidelse er den stærkeste risikofaktor for selvmord blandt 10-21-årige (11). I udenlandske studier har man fundet psykiatrisk sygdom hos mere end 90% af børn og unge med selvmord og selvmordsadfærd (4, 10, 12). Diagnostisk dominerer depressive tilstande især hos piger og unge kvinder (8, 13). Adfærdsforstyrrelser forekommer som den hyppigste diagnose hos drenge, hos unge mænd er det desuden associeret med misbrug (14). Hos unge er personlighedsforstyrrelser den diagnose, der næsthyppigst er associeret med selvmord og suicidaladfærd, hos unge piger især i form af borderline- personlighedsforstyrrelse og hos unge mænd antisocial personlighedsforstyrrelse. Komorbide psykiske sygdomme er hyppige (9). Psykotiske tilstande er fundet komorbidt hos 5-10% af børn og unge med selvmord og suicidaladfærd (9, 13), angsttilstande er fundet hos en tredjedel (10, 14) og tilpasningsreaktioner er fundet hos 15% (9, 13).

Metoderne til selvmord og selvmordsforsøg er forskellige hos de to køn. Såvel i ældre danske undersøgelser (7, 15, 16) som i nyere (4) og ældre (5, 6, 17) udenlandske undersøgelser vises det samstemmende, at drenge overvejende benytter voldelige metoder såsom hængning, at skyde sig eller forsøge at blive kørt over, mens piger typisk indtager en overdosis smertestillende eller sederende medicin.

Risiko for selvmord findes øget hos unge med tidligere selvmordsforsøg. Ved en multicenterundersøgelse, der inddrog flere europæiske lande fandt man, at 17% af de 15-19-årige, der havde haft et suicidalforsøg, gentog forsøget inden for et år (8). I en dansk femårs-followupundersøgelse af hospitalshenviste unge og voksne med suicidaladfærd fandt man, at en fjerdedel havde gentaget deres selvmordsforsøg, og 10% havde begået selvmord inden for to år (18).

Sammenfattende fremgår det af den foreliggende litteratur, at suicidaladfærd og psykiatrisk lidelse er de væsentligste prædiktorer for selvmord hos børn og unge. Med hensyn til børn er de foreliggende studier imidlertid begrænsede, og der savnes undersøgelser af relationen mellem suicidaladfærd og børnepsykiatrisk sygelighed.

Formålet med undersøgelsen er: 1) at belyse forekomsten af suicidaladfærd hos børn under 15 år, der var henvist til en børnepsykiatrisk afdeling, 2) at beskrive demografiske og psykiatriske forhold hos disse børn, og 3) at beskrive metoderne ved suicidaladfærd.

Materiale

Materialet er børn under 15 år, der i perioden fra den 1. januar 1998 til den 31. december 2000 blev henvist til Københavns Amts børnepsykiatriske afdelinger på amtssygehusene i Glostrup og Gentofte med suicidaladfærd som eneste eller medvirkende henvisningsårsag. Suicidaladfærd defineres og registreres på de børnepsykiatriske afdelinger som selvmordsfo rsøg, selvmordstrusler eller anden suicidalfarlig adfærd.

Metoder

Der blev foretaget udtræk fra de børnepsykiatriske afdelingers kliniske database vedrørende 1) henvisningsårsager, 2) forløbstype og 3) for ambulante og indlagte børn ICD-10-diagnoser, hvor bl.a. psykiatrisk grundmorbus og komorbide psykiske lidelser registreres i en multiaksial klassifikation (19).

Den kliniske database bygger på informationer, der er opnået i forbindelse med indlæggelse eller ambulant behandling på en børnepsykiatrisk afdeling eller ved en børnepsykiatrisk undersøgelse på skadestuen eller ved tilsyn og konsulentfunktion på pædiatrisk afdeling.

Journaler på indlagte og ambulant behandlede børn blev gennemgået med henblik på karakteren af den suicidale adfærd, som ikke registreres i den kliniske database.

Oplysninger vedrørende befolkningsstørrelser i Københavns Amt er indhentet fra Danmarks Statistik (2).

Resultater

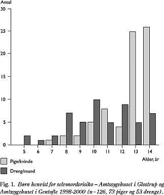
I en treårsperiode blev i alt 126 børn på 5-14 år med suicidaladfærd henvist til en børnepsykiatrisk afdeling (Fig. 1 ). Med en befolkningsstørrelse af 5-14-årige i Københavns Amt i samme periode på ca. 67.000 indebærer dette en incidensrate af suicidaladfærd på 63/100.000/år.

Børn med suicidaladfærd udgjorde seks procent af henvisningerne til børnepsykiatrisk afdeling. Der var en overvægt af piger, pige/dreng-ratioen var 73:53. Aldersmaksimum for pigerne var 13-14 år og for drengene 8-12 år. Tre børn var yngre end syv år.

Af de i alt 126 børn, der var henvist med suicidaladfærd, blev 20 indlagt, og 42 blev behandlet ambulant. I alt 64 børn blev børnepsykiatrisk vurderet ved tilsyn på pædiatrisk afdeling eller i form af konsulentbistand til pædiatrisk afdelings personale. Disse 64 børn indgik ikke i patientforløb på en børnepsykiatrisk afdeling og omtales ikke i det følgende.

I alt 62 børn blev undersøgt og behandlet på børnepsykiatrisk afdeling. Af disse fik fem børn to psykiatriske diagnoser, i det følgende beskrives derfor 62 børn med i alt 67 diagnoser.

Diagnostisk fordeling på køn

Pige/dreng-ratioen blandt indlagte og ambulant behandlede børn var 36:31. Der var en overvægt af drenge med psykoser, gennemgribende udviklingsforstyrrelser, opmærksomhedsforstyrrelser og blandede emotionelle og adfærdsmæssige forstyrrelser. Pigerne var overrepræsenterede ved personlighedsforstyrrelser og tilpasningsreaktioner (Tabel 1 ).

Diagnostisk fordeling på alder

For de ældste børn var personlighedsforstyrrelser og tilpasningsreaktioner de hyppigste diagnoser (Tabel 2 ). To drenge på 12-14 år havde diagnosen paranoid skizofreni, en dreng på ti år havde udifferentieret skizofreni. En fjerdedel af børnene havde blandede emotionelle og adfærdsmæssige forstyrrelser, størsteparten i denne gruppe var 7-12 år. Elleve børn havde emotionelle eller affektive forstyrrelser, af disse havde to drenge på otte og 12 år obsessiv-kompulsiv tilstand (OCD). Fem børn med opmærksomhedsforstyrrelser var 7-12 år.

Der var tre børn i alderen 5-6 år: To drenge på fem år havde diagnosen blandede emotionelle og adfærdsforstyrrelser, og en dreng på seks år havde gennemgribende udviklingsforstyrrelse.

Komorbiditet

Fem børn havde to diagnoser. Den hyppigste komorbide diagnose var opmærksomhedsforstyrrelse.

Karakteren af suicidaladfærd

Den suicidale adfærd fandtes beskrevet i journalerne hos 54 eller 87% af de 62 indlagte eller ambulant behandlede børn, 32 piger og 22 drenge.

Selvmordsforsøg

Hos piger var den hyppigste form for selvmordsforsøg indtagelse af en overdosis medicin. Halvdelen af selvmordsforsøgene hos 22 piger skyldtes indtagelse af paracetamol. Blandet medicinoverdosering forekom med indtagelse af overdosis af især p-piller og antidepressiva. Der forekom endvidere blandede forgiftninger med indtagelse af medicin og kemiske midler som acetone, husholdningssprit og makeupfjerner. Seks piger havde skåret sig i håndleddet. Personlighedsforstyrrelser var den hyppigste psykiatriske diagnose hos piger med forgiftninger.

Hos drengene var selvmordsforsøgene karakteriseret ved voldsomme metoder såsom at løbe ud foran biler, lægge sig på togskinner, forsøge drukning eller strangulation, dette forekom hos otte drenge. De tre yngste drenge havde forsøgt at kvæle eller at strangulere sig selv. For drengene fandtes der ingen sammenhæng mellem psykiatrisk diagnose og karakteren af deres selvmordsforsøg.

Selvmordstrusler

For fire piger og 13 drenge havde den suicidale adfærd karakter af trusler om selvmord. De fleste af pigerne var 13-14 år, mens selvmordstrusler hos drenge forekom i alle aldersgrupper.

Anden suicidalfarlig adfærd

For ni drenge, hvoraf seks var under 11 år, havde den suicidalfarlige adfærd ikke karakter af et egentligt selvmordsforsøg. En af disse drenge holdt en kniv op mod sin hals, en anden anrettede en galge uden at tage løkken om halsen. Der fandtes ingen sammenhæng mellem karakteren af suicidalfarlig adfærd og psykiatrisk diagnose. Tilsvarende suicidalfarlig adfærd forekom ikke hos piger.

Selvdestruktiv adfærd

Ti piger udviste selvdestruktiv adfærd ved at kradse, snitte eller ridse sig selv. Af disse var syv piger 13-14 år. Heraf blev fem diagnosticeret med en personlighedsforstyrrelse. Tre drenge over ti år udviste selvdestruktiv adfærd ved at skære sig eller banke hovedet ind i en væg.

Kliniske eksempler

  1. En syvårig dreng med flere former for suicidalfarlig adfærd og selvmordsforsøg sprang ud ad et vindue, hang i armene uden for klasselokalets vindue, tog en plasticpose over hovedet og var på et tidspunkt på vej ud i en sø. Han arrangerede sin egen begravelse, hvor han lagde sig på en låge og tog en elastik om halsen og fik andre børn til at lægge brædder og blomster ovenpå sig. Han blev diagnosticeret med depressiv adfærdsforstyrrelse.

  2. En tiårig dreng med selvmordstrusler og selvmordsforsøg truede med at drukne sig, skære sig i håndleddene og stikke sig i brystet med en kniv og en jernstang. Han prøvede at strangulere sig. Diagnoser: opmærksomhedsforstyrrelse og depressiv adfærdsforstyrrelse.

  3. En 13-årig pige planlagde, inspireret af en film, gennem et halvt år et selvmordsforsøg, hvor hun indtog alkohol, tog bind for øjnene og sprang ud fra en trappeafsats i tredje sals højde. Hun pådrog sig bækkenbrud og miltruptur. Hun blev diagnosticeret med personlighedsforstyrrelse.

Diskussion

Denne undersøgelse viser, at suicidaladfærd hos børn kan være forbundet med alvorlig psykopatologi. Børn, der modtages på en børnepsykiatrisk afdeling på grund af suicidaladfærd, har stort set alle, 97%, en psykiatrisk diagnose. Hermed bekræftes resultater fra ældre danske og udenlandske undersøgelser af suicidaladfærd hos børn, og fund ved nyere undersøgelser af selvmord og suicidaladfærd hos unge (8, 10, 13, 18, 20, 21) ser ud til også at kunne gælde for børn. Det er bemærkelsesværdigt, at syv børn, heraf fire børn under 13 år, havde psykotiske tilstande og gennemgribende udviklingsforstyrrelser.

Tre børn var under syv år, et af disse børn havde en gennemgribende udviklingsforstyrrelse af typen højt fungerende autisme/Aspergers syndrom. I lighed med i andre undersøgelser (4, 8, 10, 12-14) fandtes perso nlighedsforstyrrelser og blandede emotionelle og adfærdsmæssige forstyrrelser at være hyppige, heraf en del med depressive tilstande. Fem børn havde opmærksomhedsforstyrrelser, ofte komorbidt til en anden lidelse.

Undersøgelsen viste markante forskelle i suicidaladfærd på forskellige alderstrin, og med forskellige diagnoser hos piger og drenge. Vi fandt således, at suicidaladfærd var hyppigst hos piger, der typisk blev henvist i 13-14-års-alderen med personlighedsforstyrrelser eller tilpasningsreaktioner som hyppigste diagnoser. Suicidaladfærd hos pigerne var oftest indtagelse af medicin eller selvdestruktiv adfærd. Drengene havde et aldersmaksimum på 8-12 år, og diagnoser blandt drengene var hyppigst blandede adfærdsforstyrrelser og emotionelle forstyrrelser, men desuden opmærksomhedsforstyrrelser og alvorlige psykiatriske diagnoser såsom psykoser og gennemgribende udviklingsforstyrrelser. Suicidaladfærd forekom i denne undersøgelse hos børn ned til fem år. Den suicidale adfærd hos drenge var præget af voldsomme handlinger såsom forsøg på strangulering, løben ud foran biler etc. En stor del af drengene, 40%, udviste former for suicidaladfærd, som ikke fandtes hos pigerne, og pigerne frembød omvendt selvskadende adfærd, som ikke fandtes hos drengene. Selvmordstrusler forekom hyppigere hos drengene end hos pigerne, og sammen med de voldsomme metoder til selvmordsforsøg hos drenge, der fandtes i undersøgelsen, tegner der sig et billede af suicidaladfærd hos børn, der svarer til mønsteret hos unge og voksne (4).

Undersøgelsens resultater bekræfter resultater fra tidligere publicerede undersøgelser af børn med suicidaladfærd defineret mere snævert. Den brede definition i herværende undersøgelse bevirker, at yngre børn uden et udtalt suicidalønske, men med truende selvskadelig/livsfarlig adfærd, bliver medtaget (1, 5-9, 15, 17).

Undersøgelsen er baseret på et relativt lille, selekteret materiale, hvor alene børn, der var henvist til en børnepsykiatrisk undersøgelse indgår. Af det samlede antal henviste børn beregnes en incidensrate på 63/100.000/år, men dette tal afspejler alene forekomsten af selvmordsrelaterede tanker og handlinger hos hospitalshenviste børn og muliggør ikke konklusioner vedrørende suicidaladfærd i børnepopulationen som helhed.

Omkring halvdelen af de børn, der blev henvist til børnepsykiatrisk vurdering, blev ikke behandlet i børnepsykiatrisk regi, men blev via konsulentfunktion visiteret på skadestuen og på pædiatrisk afdeling. Undersøgelsen er begrænset af manglende registrering af diagnostisk problemstilling hos disse børn, men alt andet lige må det antages, at børn, der bliver henvist og behandlet i børnepsykiatrisk regi, repræsenterer de alvorligste former for suicidaladfærd og psykopatologi. Suicidaladfærd forekom hos 6% af samtlige børn, der var henvist til en børnepsykiatrisk afdeling, og hermed bekræfter denne undersøgelse fund fra ældre undersøgelser fra Danmark og England (7, 10).

Konklusion

Suicidaladfærd hos hospitalshenviste børn under 15 år forekom med en rate på 63/100.000/år.

Indlagte og ambulant behandlede børn med suicidaladfærd havde psykiatriske diagnoser i 97% af tilfældene. Hos piger fandt man flest 13-14-årige med forstyrret personlighedsudvikling og tilpasningsreaktioner, og hos drenge var der flest i aldersgruppen 7-12 år med psykoser, gennemgribende udviklingsforstyrrelser, opmærksomhedsforstyrrelser og blandede emotionelle og adfærdsforstyrrelser som hyppigst forekommende diagnoser.

Pigerne foretog hyppigere selvmordsforsøg og selvskadende adfærd end drengene, som typisk udviste suicidalfarlig adfærd og fremkom med selvmordstrusler.

Undersøgelsens resultater peger på, at suicidaladfærd kan være forbundet med alvorlig psykopatologi hos børn ned til 6-7 år.


Vibeke Høg, Fiskedamsgade 25 C, 3. t.h., DK-2100 København Ø.
E-mail: vibh@dadlnet.dk

Antaget den 30. oktober 2002.

Amtssygehuset i Glostrup, Børnepsykiatrisk ambulatorium.

  1. Sommer B, Jensen BT. Selvmord blandt børn og unge 1970-1985. Ugeskr Læger 1987; 149: 2100-2.
  2. http://www.statistikbanken.dk/ juni. 2002.
  3. McClure GMG. Suicide in children and adolescents in England and Wales 1970-1998. Br J Psychiatry 2001; 178: 469-74.
  4. Shaffer D, Pfeffer CR, Bernet W, Arnold V, Beitchman J, Benson S et al. Practice parameter for the assessment and treatment of children and adolescents with suicidal behaviour. J Am Acad Child Adolesc Psychiatry 2001; 40 (suppl 7): 24S-51S.
  5. Otto U. Barns och ungdomars sjalvmordshandlingar. Kristianstad: Kristianstads Boktryckeri AB, 1971.
  6. Kienhorst CWM, Wolters WHG, Diekstra RFW, Otte E. A study of the frequency of suicidal behaviour in children aged 5 to 14. J Child Psychol Psychiat 1987; 28: 153-65.
  7. Tingsgård P. Selvmordsforsøg hos børn. Ugeskr Læger 1975; 137: 1273-8.
  8. Hulten A, Jiang GX, Wasserman D, Hawton K, Hjelmeland H, De Leo D et al. Repetition of attempted suicide among teenagers in Europe:

Summary

Summary Suicidal behaviour in children. Ugeskr Læger 2002; 164: 5790-4. Introduction: Psychiatric illness and suicide attempts are important risk factors for suicide in young people. To what extent suicidal behaviour in childhood predicts suicidal behaviour and suicide later in life is not known, and studies concerning suicidal behaviour and psychopathology in children are limited. The objective of the study was to describe suicidal behaviour in children referred to child psychiatric assessment concerning the frequency and characteristics of the suicidal behaviour and the psychiatric diagnoses of the children. Material and methods: Children under the age of 15 from the County of Copenhagen referred to child psychiatric ward because of suicidal behaviour. The period studied was January 1st 1998 to December 31st 2000. Data regarding the children were collected from a clinical database and medical records. Children seen at other wards by child psychiatric consultants have not been included in the descriptive part of the study. Results: The incidence of referred children corresponds to a rate of suicidal behaviour of 63.0 per 100,000. A total of 126 children were referred. 62 were patients in a child psychiatric ward. Among these, 97% were diagnosed as having psychiatric problems. Children with suicidal risk made out 6% of all referred children. The ratio of boys to girls was 53:73. Most of the girls were aged 13-14 and the boys 8-12. Seven boys suffered from psychoses and pervasive developmental disorders, the rest of the boys from attention deficit and hyperactivity disorders and mixed disorders of conduct and emotions. The oldest girls were suffering from personality disorders. Poisoning was common among the girls and more violent selfdestructive acts characterized the suicidal behaviour of the boys. Discussion: Suicidal behaviour was associated with psychopathology in most children referred. Serious psychiatric disturbances as psychotic disorders were found in boys as young as seven years of age, and personality disorders were most common in the girls. Sex differences in suicidal behaviour known from studies of adolescents and adult people seem to be manifested early in childhood. Perspectives: Prospective studies are needed to clarify the association of psychopathology and suicidal behaviour in childhood and later suicidal behaviour and suicide.

Referencer

  1. Sommer B, Jensen BT. Selvmord blandt børn og unge 1970-1985. Ugeskr Læger 1987; 149: 2100-2.
  2. http://www.statistikbanken.dk/ juni. 2002.
  3. McClure GMG. Suicide in children and adolescents in England and Wales 1970-1998. Br J Psychiatry 2001; 178: 469-74.
  4. Shaffer D, Pfeffer CR, Bernet W, Arnold V, Beitchman J, Benson S et al. Practice parameter for the assessment and treatment of children and adolescents with suicidal behaviour. J Am Acad Child Adolesc Psychiatry 2001; 40 (suppl 7): 24S-51S.
  5. Otto U. Barns och ungdomars sjalvmordshandlingar. Kristianstad: Kristianstads Boktryckeri AB, 1971.
  6. Kienhorst CWM, Wolters WHG, Diekstra RFW, Otte E. A study of the frequency of suicidal behaviour in children aged 5 to 14. J Child Psychol Psychiat 1987; 28: 153-65.
  7. Tingsgård P. Selvmordsforsøg hos børn. Ugeskr Læger 1975; 137: 1273-8.
  8. Hulten A, Jiang GX, Wasserman D, Hawton K, Hjelmeland H, De Leo D et al. Repetition of attempted suicide among teenagers in Europe: frequency, timing and risk factors. Eur Child Adolesc Psychiatry 2001; 10: 161-9.
  9. Runeson B. Mental disorder in youth suicide. Acta Psychiatr Scand 1989; 79: 490-7.
  10. Shaffer D, Gould MS, Fisher P, Trautman P, Moreau D, Kleinman M et al. Psychiatric diagnosis in child and adolescent suicide. Arch Gen Psychiatry 1996; 53: 339-48.
  11. Agerbo E, Nordentoft M, Mortensen PB. Familial, psychiatric and socioeconomic risk factors for suicide in young people: nested case-control study. BMJ 2002; 325: 74-7.
  12. Beautrais AL, Joyce PR, Mulder RT. Psychiatric contacts among youths aged 13 through 24 years who have made serious suicide attempts. J Am Acad Child Adolesc Psychiatry 1998; 37: 504-11.
  13. Åsgård U. A psychiatric study of suicide among urban women in Sweden. Acta Psychiatr Scand 1990; 82: 115-24.
  14. Gould MS, King R, Greenwald S, Fisher P, Schwab-Stone M, Kramer R et al. Psychopathology associated with suicidal ideation and attempts among children and adolescents. J Am Acad Child Adolesc Psychiatry 1998; 37: 915-23.
  15. Vange B. Selvmordsforsøg blandt børn og unge. Ugeskr Læger 1985; 147: 1867-73.
  16. Krarup G, Kristensen KS, Kvist J. Selvmord blandt børn og unge under 30 år. Ugeskr Læger 1988; 150: 2956-8.
  17. McClure GMG. Suicide in children in England and Wales. J Child Psychol Psychiat 1988; 29: 345-9.
  18. Nielsen B, Wang AG, Bille-Brahe U. Attempted suicide in Denmark. IV. Acta Psychiatr Scand 1990; 81: 250-4.
  19. Børner HB, Hørder K, Isager T. Multiaksial diagnostik på to børnepsykiatriske afdelinger. Ugeskr Læger 1991; 153: 926-8.
  20. Rich CL, Runeson BS. Similarities in diagnostic comorbidity between suicide among young people in Sweden and the United States. Acta Psychiatr Scand 1992; 86: 335-9.
  21. Grøholt B, Ekeberg Ø, Wichstrøm L, Haldorsen T. Young suicide attempters: a comparison between a clinical and an epidemiological sample. J Am Acad Child Adolesc Psychiatry 2000; 39: 868-75.